Open Access

Fig. 9.

image

Download original image

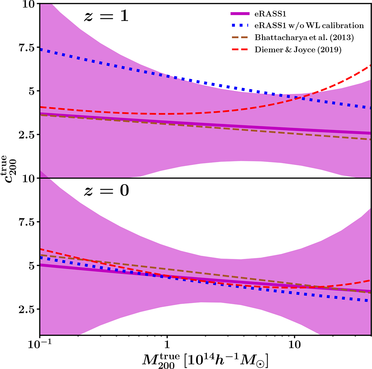
Redshift evolution for the mass-concentration relation. The best-fit line and its 1σ uncertainty are shown as the magenta solid line and region, respectively. The blue dotted lines are the results without the WL calibration. The brown and red dashed lines denote the normalizations of numerical simulations of Bhattacharya et al. (2013) and Diemer & Joyce (2019), respectively.

Current usage metrics show cumulative count of Article Views (full-text article views including HTML views, PDF and ePub downloads, according to the available data) and Abstracts Views on Vision4Press platform.

Data correspond to usage on the plateform after 2015. The current usage metrics is available 48-96 hours after online publication and is updated daily on week days.

Initial download of the metrics may take a while.