Open Access

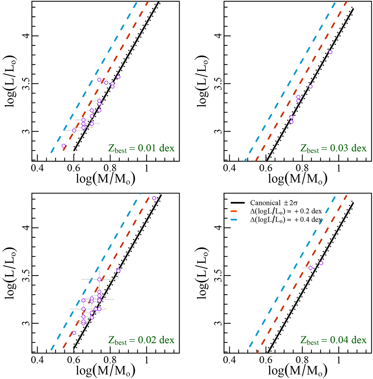
Fig. 9.

image

Download original image

Mass and luminosity best values obtained by our pulsation model fit technique for all the selected sources (violet points), together with the expected canonical ML relation (solid black line), the mild (+0.2 dex) non-canonical ML relation (dashed red line), and the full (+0.4 dex) non-canonical ML relation (dashed blue line).

Current usage metrics show cumulative count of Article Views (full-text article views including HTML views, PDF and ePub downloads, according to the available data) and Abstracts Views on Vision4Press platform.

Data correspond to usage on the plateform after 2015. The current usage metrics is available 48-96 hours after online publication and is updated daily on week days.

Initial download of the metrics may take a while.