Open Access

Fig. 6

image

Download original image

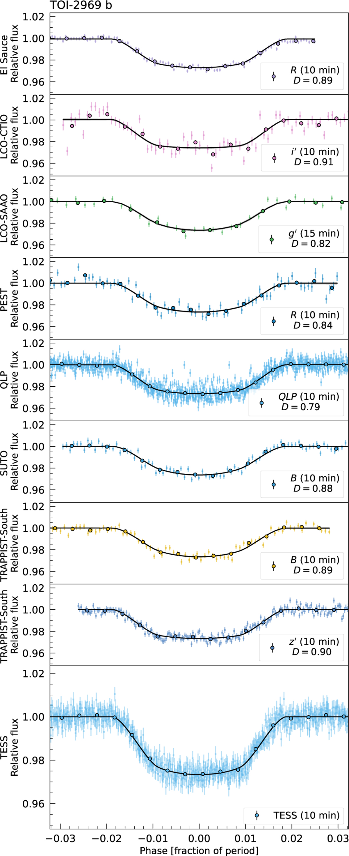
Phase-folded TESS light curve of TOI-2969. The Juliet fit is shown as a black line, while TESS data is plotted in light blue in the lower panel. The upper panels feature ground-based follow-up photometric observations from LCO-SAAO, LCO-CTIO, TRAPPIST-South, El Sauce, SUTO, and PEST. Data points with black-edged markers indicate 10-minute bins, except for LCO-SAAO (g′) observations, which are binned by 15 minutes. If the dilution D is fitted, it is indicated per light curve, otherwise, it is set to 1.

Current usage metrics show cumulative count of Article Views (full-text article views including HTML views, PDF and ePub downloads, according to the available data) and Abstracts Views on Vision4Press platform.

Data correspond to usage on the plateform after 2015. The current usage metrics is available 48-96 hours after online publication and is updated daily on week days.

Initial download of the metrics may take a while.