Open Access

Fig. 1

image

Download original image

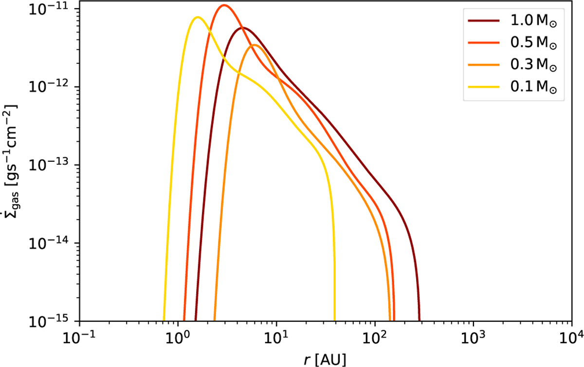
Photoevaporative gas surface density loss rate as a function of disc radius for different stellar masses, as given in Equation (5), adopted from Picogna et al. (2021). Here, the nominal values for the photoevap-orative mass loss rate, as given in Table 1, are used.

Current usage metrics show cumulative count of Article Views (full-text article views including HTML views, PDF and ePub downloads, according to the available data) and Abstracts Views on Vision4Press platform.

Data correspond to usage on the plateform after 2015. The current usage metrics is available 48-96 hours after online publication and is updated daily on week days.

Initial download of the metrics may take a while.