Open Access

Fig. B.1

image

Download original image

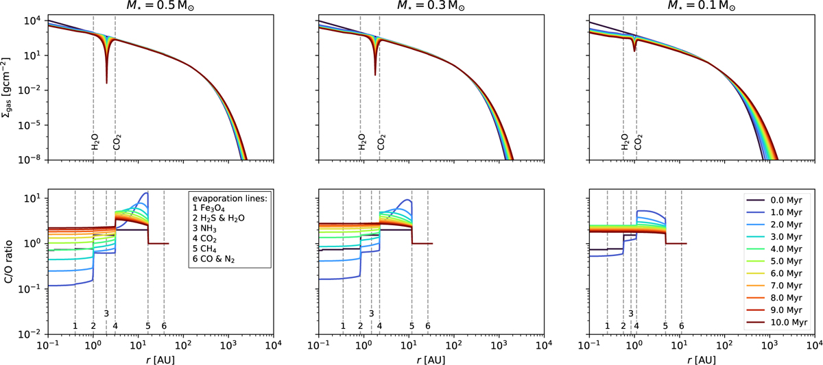
Disc evolution for a viscous disc without internal photoevaporation, with a planet seed placed at [2.0, 1.8, 1.0] AU at 0.05 Myr, using an envelope opacity of κenv = 0.5 cm2/g. The planet has a final mass of about [400,165,10] MEarth and reaches pebble isolation mass at [0.12, 0.14, 0.27] Myr for our host star masses of [0.5, 0.3, 0.1] M. The stellar mass decreases from the left to the right. Top: Gas surface density as a function of disc radius and time. Bottom: Gaseous C/O ratio as a function of disc radius and time. Colour coding, plotting, and simulation parameters are indicated as in Figure 3.

Current usage metrics show cumulative count of Article Views (full-text article views including HTML views, PDF and ePub downloads, according to the available data) and Abstracts Views on Vision4Press platform.

Data correspond to usage on the plateform after 2015. The current usage metrics is available 48-96 hours after online publication and is updated daily on week days.

Initial download of the metrics may take a while.