Open Access

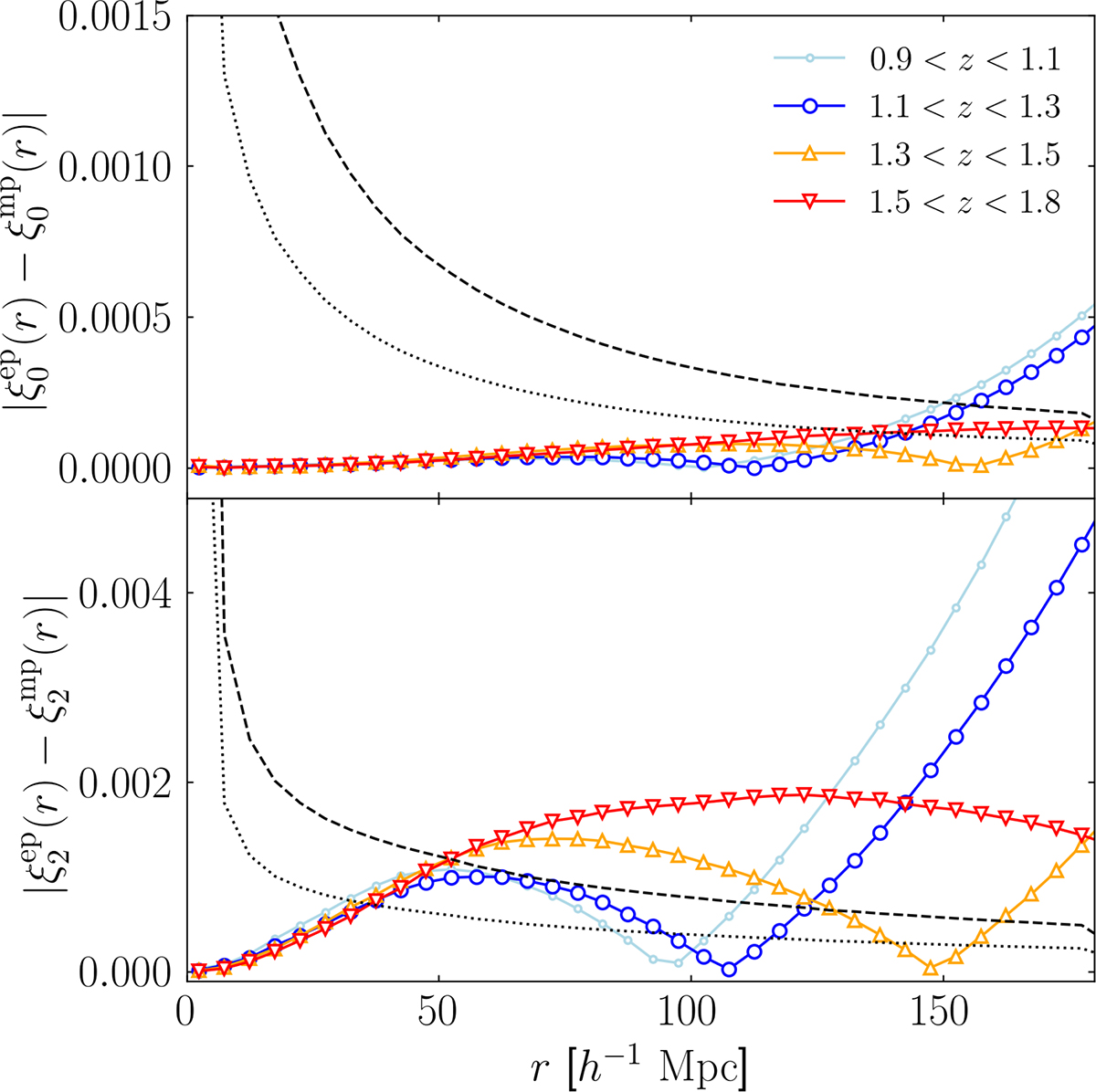
Fig. 14.

image

Download original image

Impact of the choice of pair line-of-sight definition on the estimated monopole (upper panel) and quadrupole (lower panel) correlation functions in FGM mock. The curves show the absolute value of the difference between using mid-point and end-point definitions in the estimator for the monopole and quadrupole correlation functions. The different colours show this quantity for the redshift intervals: 0.9 < z < 1.1, 1.1 < z < 1.3, 1.3 < z < 1.5, 1.5 < z < 1.8. The dotted (dashed) line shows the expected 1σ (2σ) statistical error in the completed Euclid Wide Survey in the interval 1.1 < z < 1.3.

Current usage metrics show cumulative count of Article Views (full-text article views including HTML views, PDF and ePub downloads, according to the available data) and Abstracts Views on Vision4Press platform.

Data correspond to usage on the plateform after 2015. The current usage metrics is available 48-96 hours after online publication and is updated daily on week days.

Initial download of the metrics may take a while.