Open Access

Fig. 5.

image

Download original image

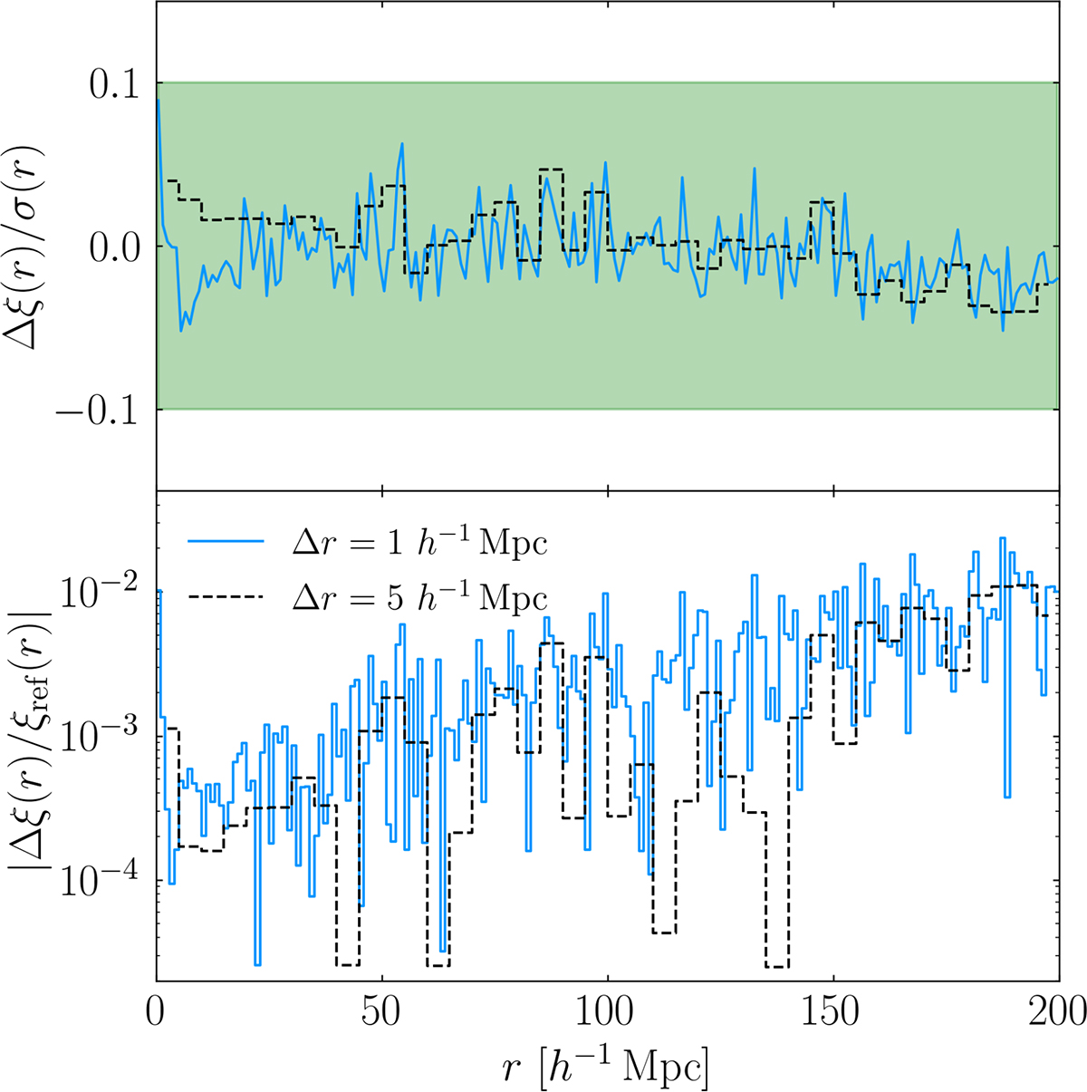
Accuracy of the estimated real-space correlation function from the CoxMocks. While the top panel presents the mean bias relative to the standard deviation Δξ/σ, the bottom panel exhibits the absolute value of the mean relative bias |Δξ/ξref|. These estimates are obtained by averaging over 10 000 mock realisations. In the top panel, the horizontal coloured band represents ±10% of σ(r).

Current usage metrics show cumulative count of Article Views (full-text article views including HTML views, PDF and ePub downloads, according to the available data) and Abstracts Views on Vision4Press platform.

Data correspond to usage on the plateform after 2015. The current usage metrics is available 48-96 hours after online publication and is updated daily on week days.

Initial download of the metrics may take a while.