Open Access

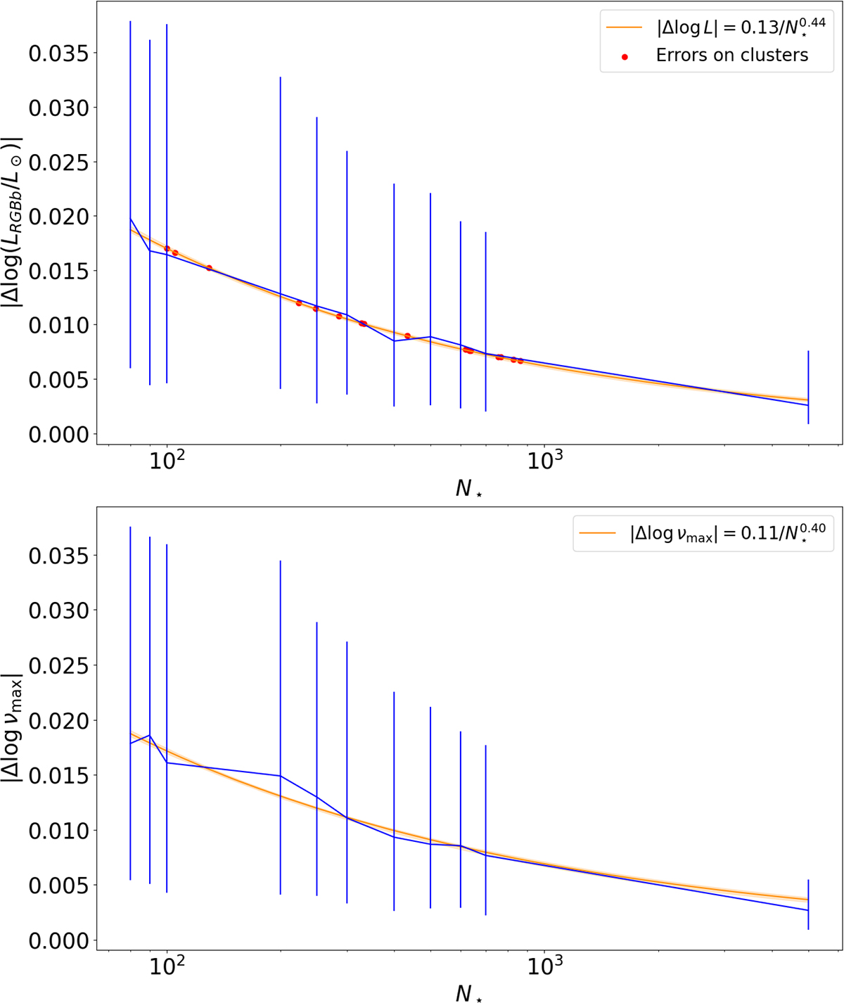
Fig. B.1.

image

Download original image

Variation of the RGBb position in log L (upper panel) and log νmax (lower panel) with the number of stars in the simulation. The red points in the upper panel represent the GCs in our sample.

Current usage metrics show cumulative count of Article Views (full-text article views including HTML views, PDF and ePub downloads, according to the available data) and Abstracts Views on Vision4Press platform.

Data correspond to usage on the plateform after 2015. The current usage metrics is available 48-96 hours after online publication and is updated daily on week days.

Initial download of the metrics may take a while.