Open Access

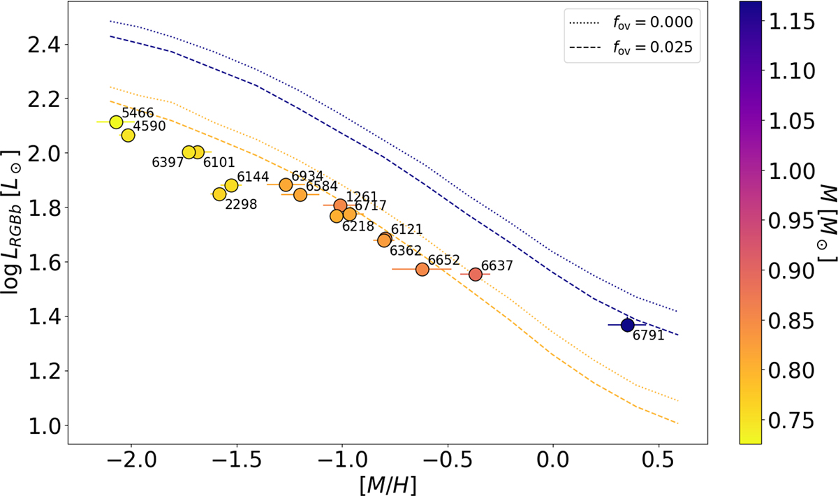
Fig. 5.

image

Download original image

RGBb luminosity as function of [M/H] for stellar clusters in our sample (coloured according to MRGBb). The RGBb luminosity decreases with increasing [M/H] and decreasing stellar mass (see e.g. NGC 1261 and NGC 6218). The lines correspond to the RGBb luminosities – at different metallicities – of evolutionary tracks with M = (0.8, 1.17) M (orange, blue) and fov = 0.000, 0.025 (dotted, dashed).

Current usage metrics show cumulative count of Article Views (full-text article views including HTML views, PDF and ePub downloads, according to the available data) and Abstracts Views on Vision4Press platform.

Data correspond to usage on the plateform after 2015. The current usage metrics is available 48-96 hours after online publication and is updated daily on week days.

Initial download of the metrics may take a while.