Open Access

Fig. 6

image

Download original image

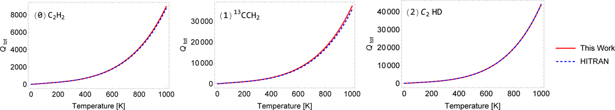
Comparison of the total internal partition sums (Qtot) as a function of temperature for acetylene (C2H2), 13 CCH2, and C2HD. The solid blue line represents the results from this work, while the red dashed line shows the HITRAN values. The agreement between our calculations and HITRAN demonstrates the accuracy of our method across a wide temperature range (0–1000 K).

Current usage metrics show cumulative count of Article Views (full-text article views including HTML views, PDF and ePub downloads, according to the available data) and Abstracts Views on Vision4Press platform.

Data correspond to usage on the plateform after 2015. The current usage metrics is available 48-96 hours after online publication and is updated daily on week days.

Initial download of the metrics may take a while.