Open Access

Fig. 9

image

Download original image

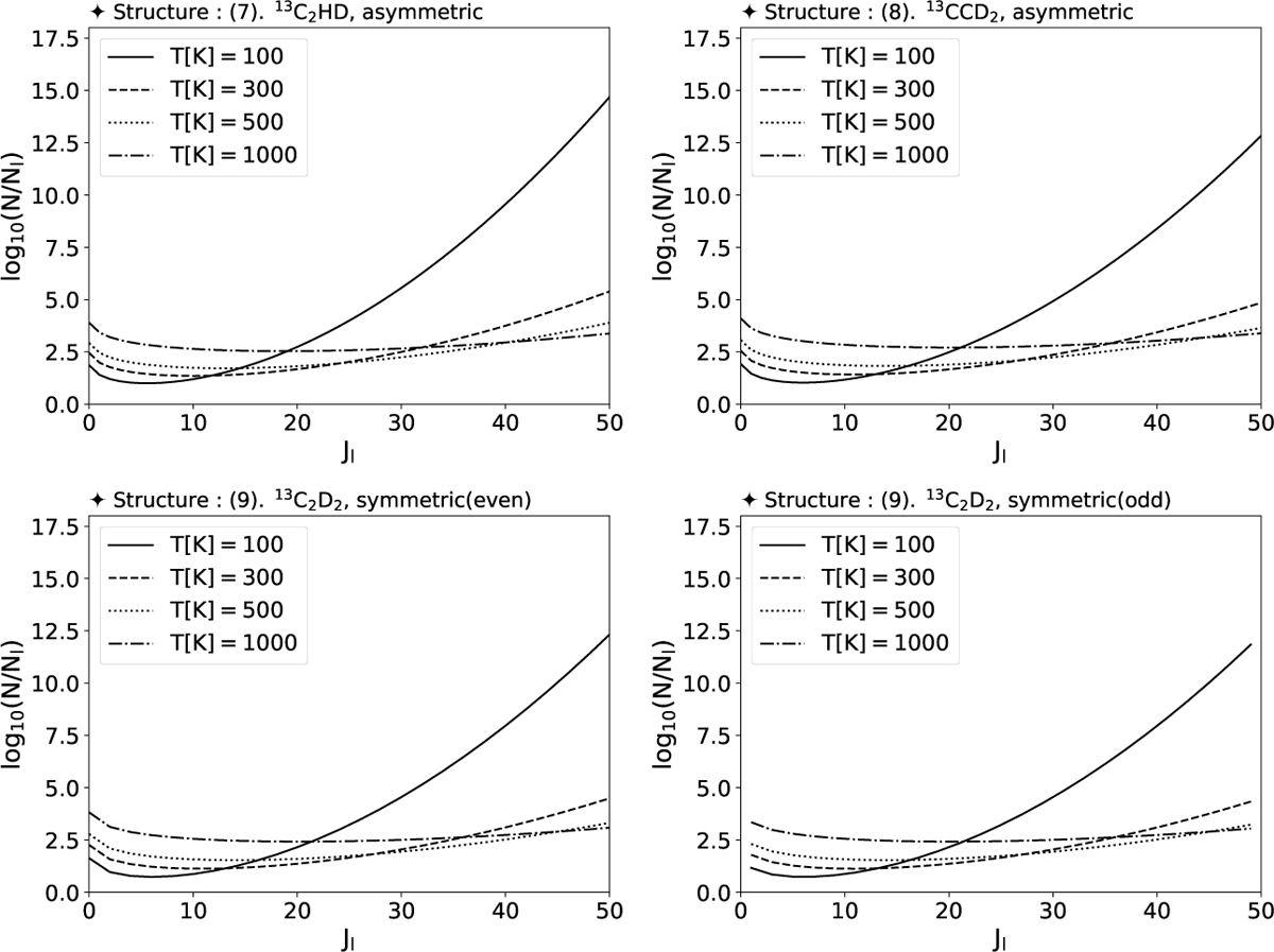
Same as Fig. 8 but for the remaining isotopologs of acetylene. The top row shows results for asymmetric molecules: 13C2HD (Isotopolog “7”) on the left and 13CCD2 (Isotopolog “8”) on the right. The bottom row corresponds to symmetric molecules 13C2D2 (Isotopolog “9”), with even states on the left and odd states on the right.

Current usage metrics show cumulative count of Article Views (full-text article views including HTML views, PDF and ePub downloads, according to the available data) and Abstracts Views on Vision4Press platform.

Data correspond to usage on the plateform after 2015. The current usage metrics is available 48-96 hours after online publication and is updated daily on week days.

Initial download of the metrics may take a while.