Open Access

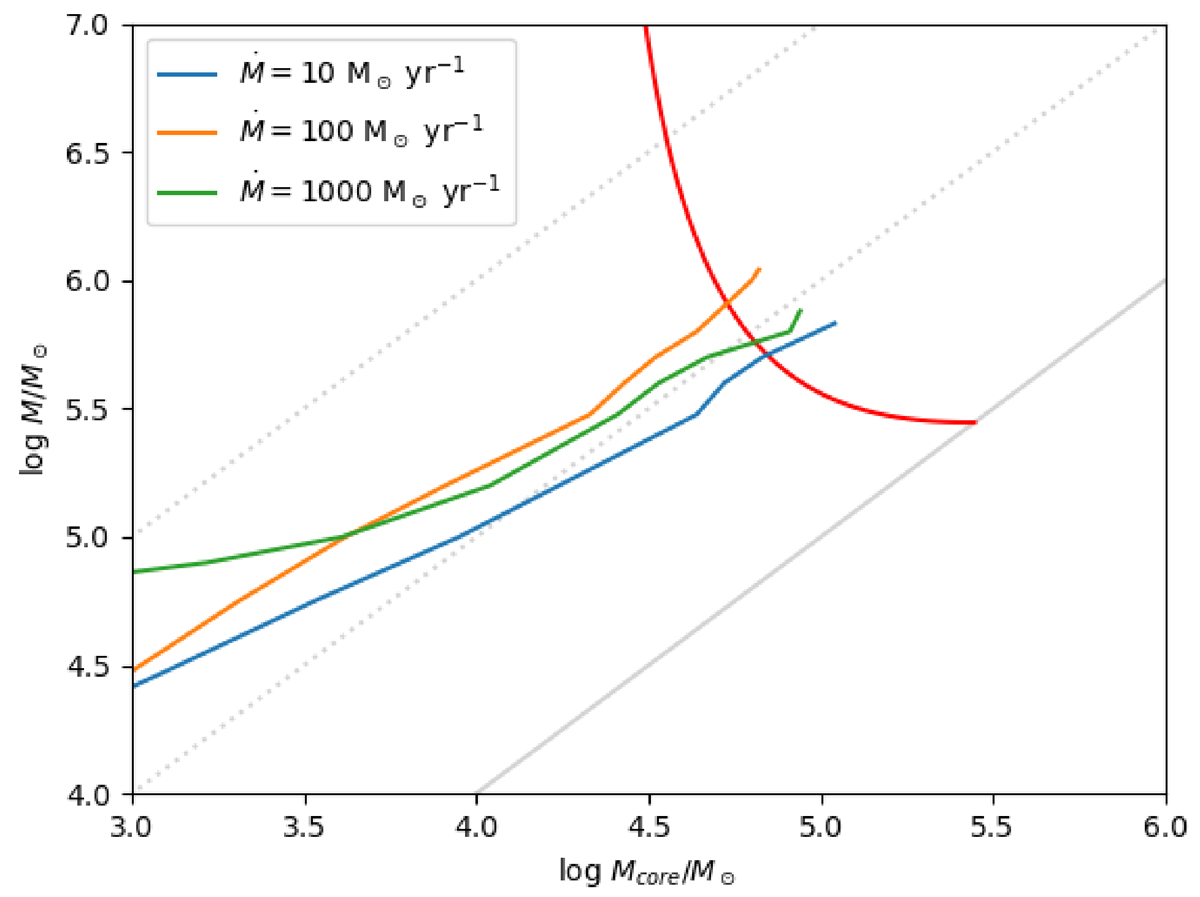
Fig. 6.

image

Download original image

Mcore − M diagram of the models at Z = 3 Z, for the indicated accretion rates. The red line is the hylotropic stability limit with μ = 0.64 and Tc = 7 × 107 K. The grey diagonals indicate constant fractions Mcore/M = 1%−10%−100%.

Current usage metrics show cumulative count of Article Views (full-text article views including HTML views, PDF and ePub downloads, according to the available data) and Abstracts Views on Vision4Press platform.

Data correspond to usage on the plateform after 2015. The current usage metrics is available 48-96 hours after online publication and is updated daily on week days.

Initial download of the metrics may take a while.