Open Access

Fig. 9

image

Download original image

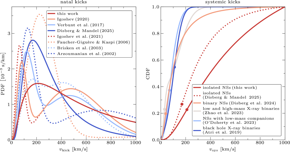
Comparison between our fiducial kick distribution (red solid line) and kick distributions as found in existing literature. In the left panel the comparison is made with probability density functions (PDFs) from existing literature on NS natal kicks (i.e. Arzoumanian et al. 2002; Brisken et al. 2003a; Faucher-Giguère & Kaspi 2006; Verbunt et al. 2017; Igoshev 2020; Igoshev et al. 2021; Disberg & Mandel 2025, omitting the erroneous distribution of Hobbs et al. 2005), while in the right panel we compare our natal kicks and the results of Disberg & Mandel (2025) to CDFs of the systemic kicks of binaries that include compact objects (i.e. Atri et al. 2019; O’Doherty et al. 2023; Zhao et al. 2023; Disberg et al. 2024b, where the modes are displayed as dots). The shown distributions are all normalised between 0 km/s and 1000 km/s, and their parameters are listed in Appendix A.

Current usage metrics show cumulative count of Article Views (full-text article views including HTML views, PDF and ePub downloads, according to the available data) and Abstracts Views on Vision4Press platform.

Data correspond to usage on the plateform after 2015. The current usage metrics is available 48-96 hours after online publication and is updated daily on week days.

Initial download of the metrics may take a while.