Open Access

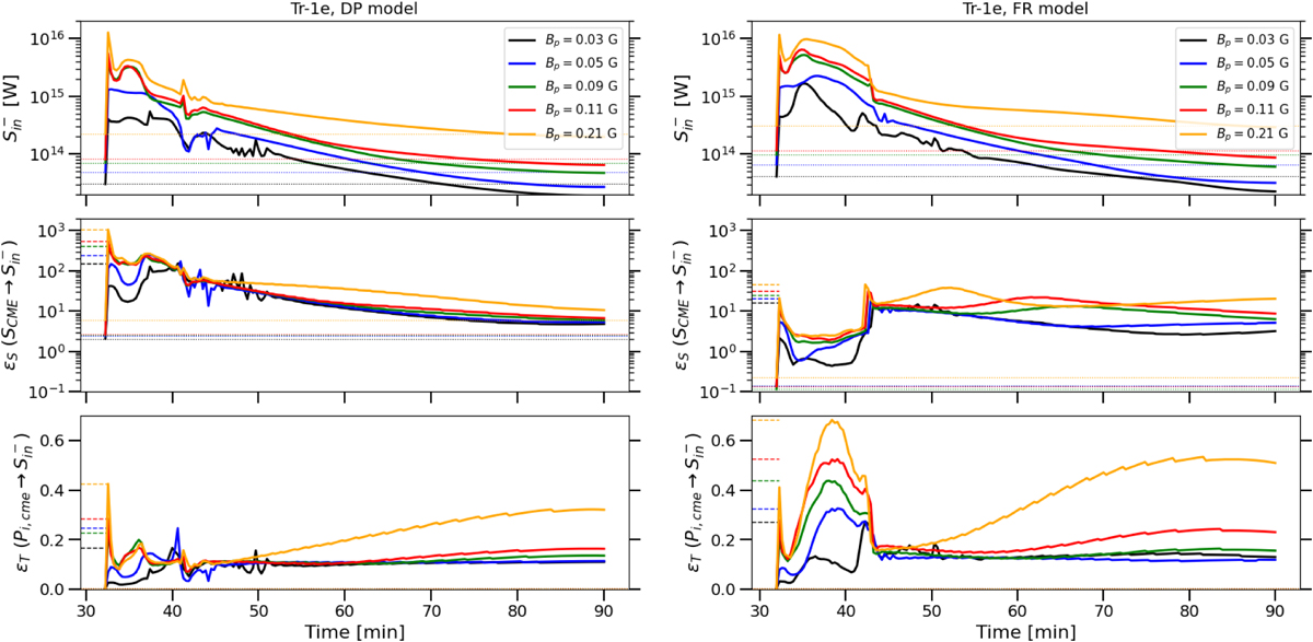
Fig. 13

image

Download original image

Time series of Sin$S_{in}^-$ in W (top), ϵS (middle), and ϵT (bottom) for Trappist-1e DP (left) and FR (right) simulations as a function of time during the CME event. Horizontal dashed and dotted lines indicate maximum and initial values. The transfer functions ϵS and ϵT are defined in Eqs. (26) and (27).

Current usage metrics show cumulative count of Article Views (full-text article views including HTML views, PDF and ePub downloads, according to the available data) and Abstracts Views on Vision4Press platform.

Data correspond to usage on the plateform after 2015. The current usage metrics is available 48-96 hours after online publication and is updated daily on week days.

Initial download of the metrics may take a while.