Open Access

Fig. A.1.

image

Download original image

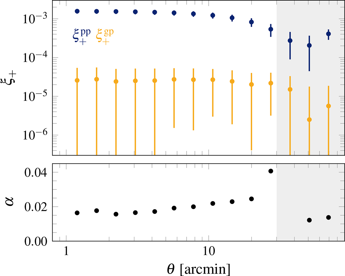
Estimation of the PSF leakage parameter α. Top panel shows the cross-correlation between galaxy and PSF shapes (ξ+gp), and auto-correlation of the PSF shapes (ξ+pp), where the error bars are calculated from bootstrapping. The bottom panel shows the calculated α at each angular scale. Data points in grey region are not included in the final estimation of the mean value of α.

Current usage metrics show cumulative count of Article Views (full-text article views including HTML views, PDF and ePub downloads, according to the available data) and Abstracts Views on Vision4Press platform.

Data correspond to usage on the plateform after 2015. The current usage metrics is available 48-96 hours after online publication and is updated daily on week days.

Initial download of the metrics may take a while.