Open Access

Fig. 5.

image

Download original image

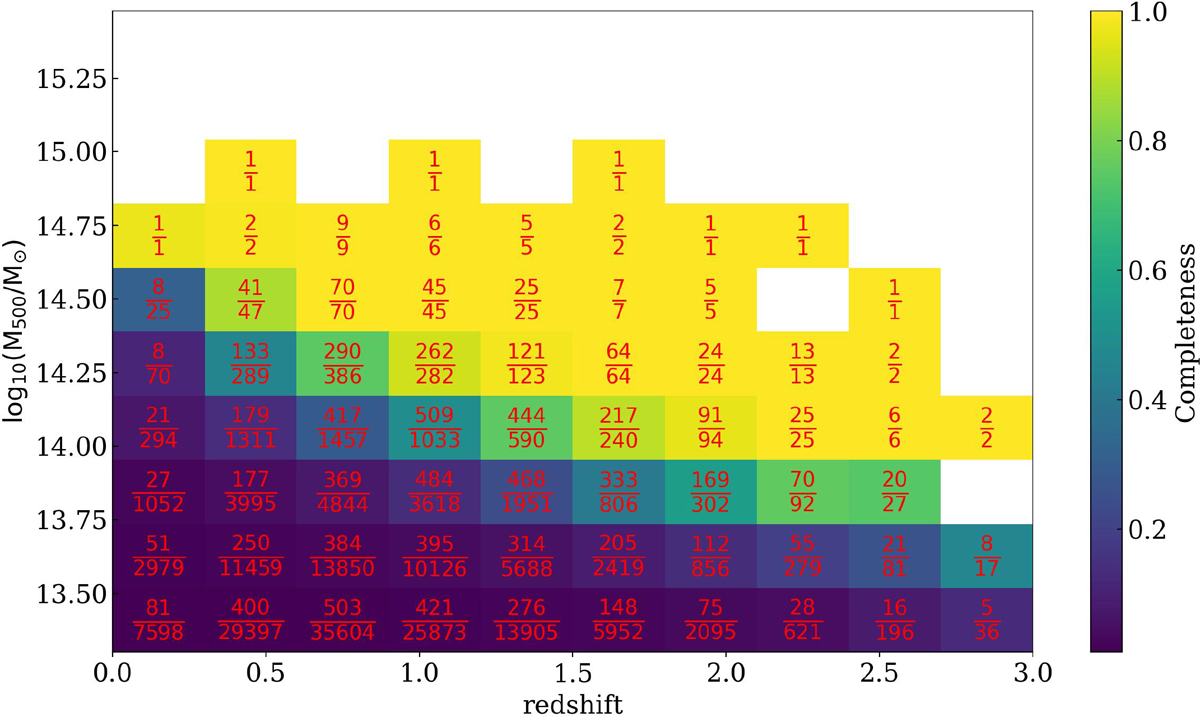
Color-coded completeness defined as the probability for a cluster of mass M500 and redshift z to be detected. The number of true clusters detected with respect to the total number of simulated clusters is given for each bin in mass and redshift.

Current usage metrics show cumulative count of Article Views (full-text article views including HTML views, PDF and ePub downloads, according to the available data) and Abstracts Views on Vision4Press platform.

Data correspond to usage on the plateform after 2015. The current usage metrics is available 48-96 hours after online publication and is updated daily on week days.

Initial download of the metrics may take a while.