Open Access

Fig. 12

image

Download original image

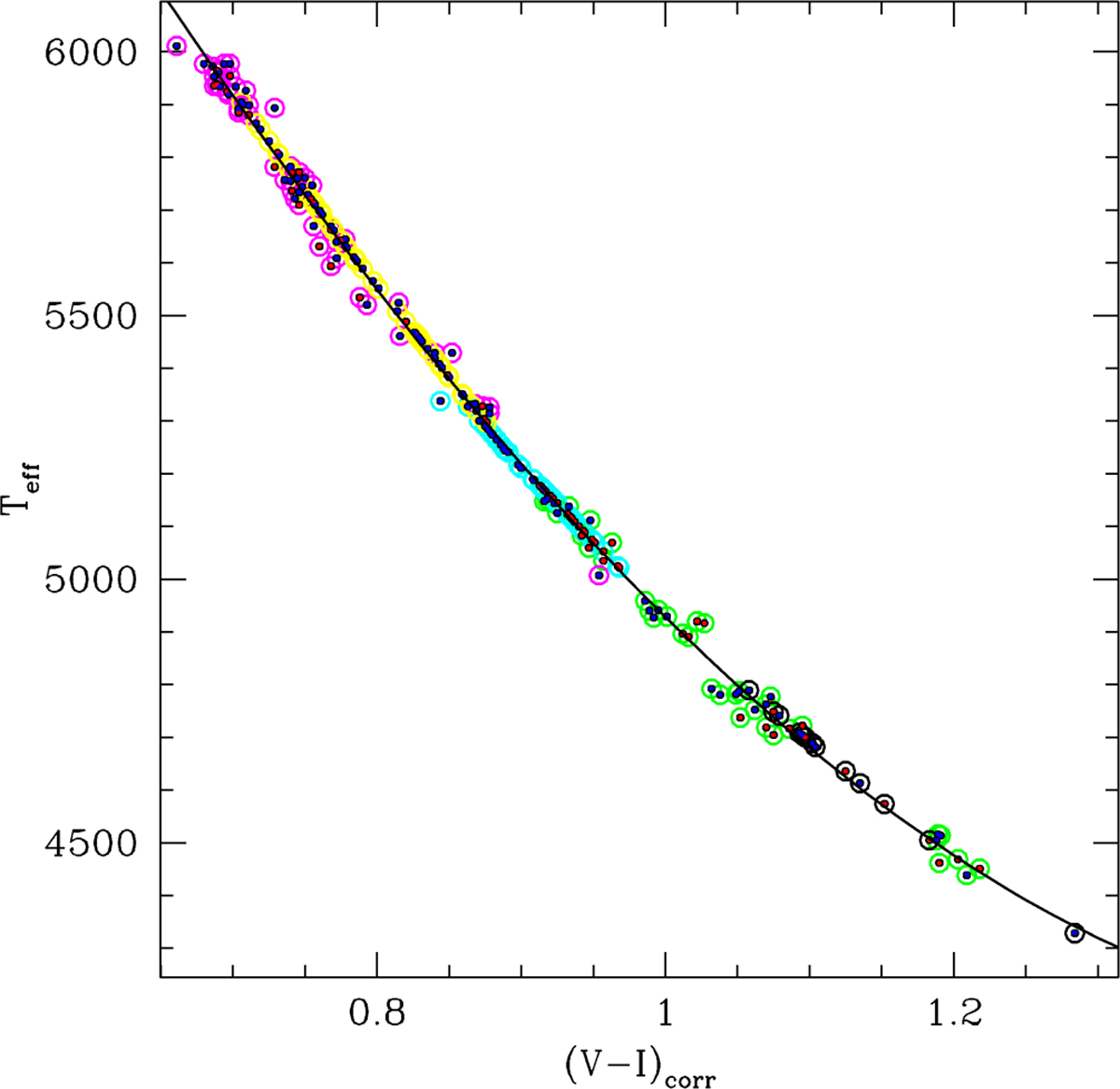
Relation of Teff versus (V-I) obtained for our targets. The V-I color of MS and SGB stars was corrected for the gravity effect. The black line represents a 3rd degree polynomial fit (see text for more details).

Current usage metrics show cumulative count of Article Views (full-text article views including HTML views, PDF and ePub downloads, according to the available data) and Abstracts Views on Vision4Press platform.

Data correspond to usage on the plateform after 2015. The current usage metrics is available 48-96 hours after online publication and is updated daily on week days.

Initial download of the metrics may take a while.