Open Access

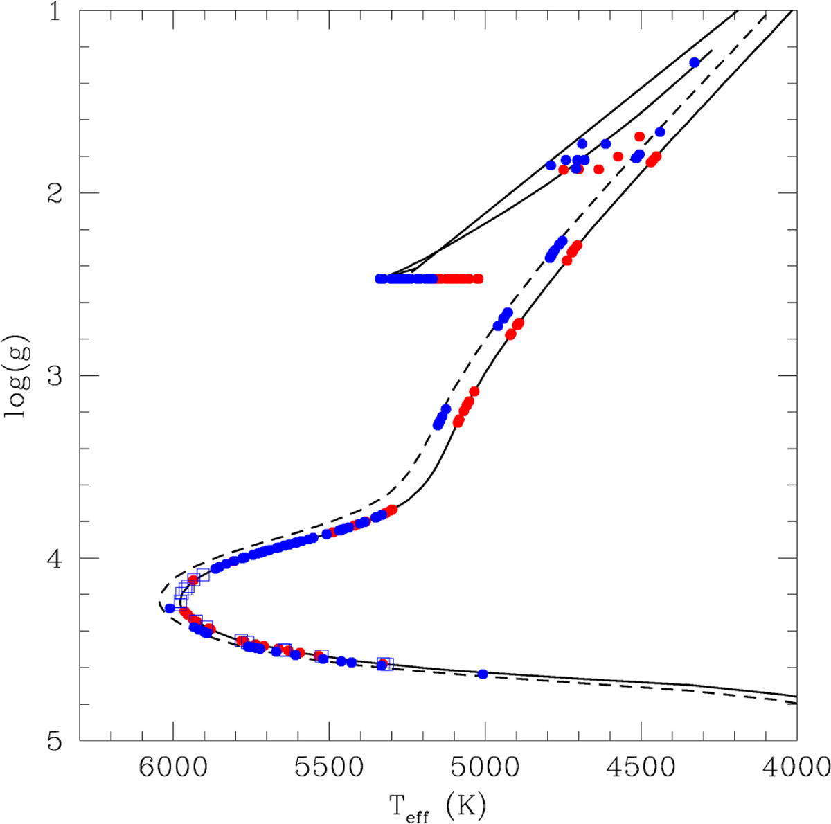
Fig. 13

image

Download original image

Relation of log(g) versus Teff for our targets. The continuos black lines represents the isochrones we used to obtain the initial stellar parameters (see Fig. 2). The shaded black lines is an isochrone from the same database but with a global metallicity 0.15 dex lower. Red circles are FG targets, while blue circles are SG targets (see text for more details).

Current usage metrics show cumulative count of Article Views (full-text article views including HTML views, PDF and ePub downloads, according to the available data) and Abstracts Views on Vision4Press platform.

Data correspond to usage on the plateform after 2015. The current usage metrics is available 48-96 hours after online publication and is updated daily on week days.

Initial download of the metrics may take a while.