Open Access

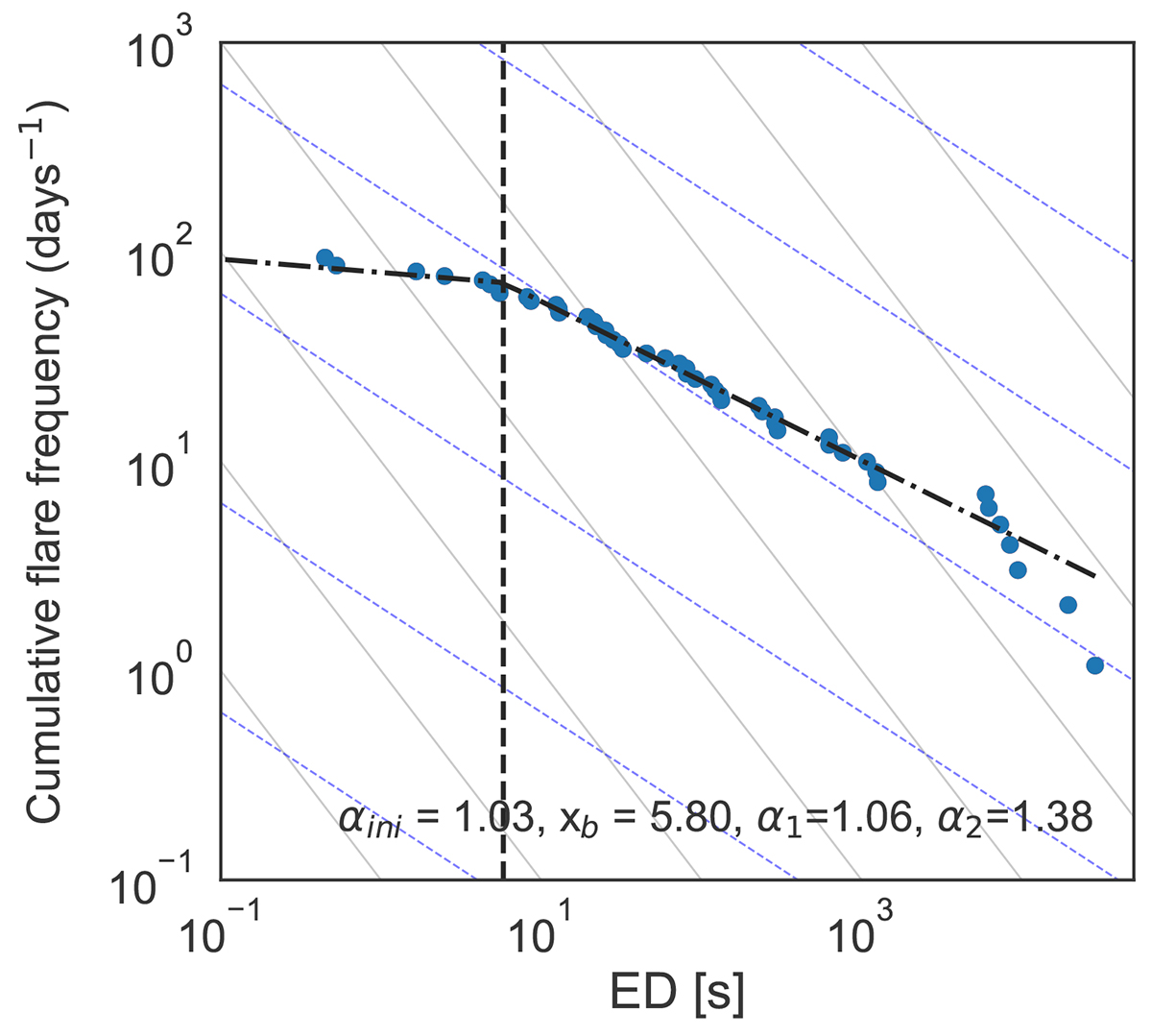
Fig. B.3.

image

Download original image

Cumulative FFDs (scatter) in ED, and respective broken power law fits (dashed black lines) for the sample of FUV flares in young and field stars in this study sample. The y-axis shows the frequency distribution plotted against ED on the x-axis. The grey and blue dashed guides corresponding to power law coefficient α = 2.0 and α = 1.5, respectively, for a range of ED.

Current usage metrics show cumulative count of Article Views (full-text article views including HTML views, PDF and ePub downloads, according to the available data) and Abstracts Views on Vision4Press platform.

Data correspond to usage on the plateform after 2015. The current usage metrics is available 48-96 hours after online publication and is updated daily on week days.

Initial download of the metrics may take a while.