Open Access

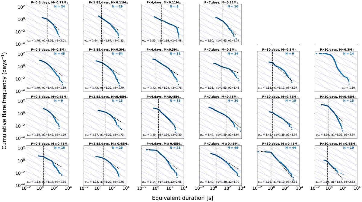
Fig. B.4.

image

Download original image

Cumulative distribution for the mass-period bins of all stars in this study sample. Blue dots represent the bin sub-sample FFD, which takes to account multiple stars by averaging each portion of the FFD by the number of stars that contribute to it. Initial guess for slope α1 ini and intercept βini from MMLE method as before were used to fit the broken power law was to the distribution resulting slopes α1, α2 (black dash-dotted lines) and break points indicated by black dashed lines, if the fit was successful. The grey and blue dashed guides corresponding to power law coefficient α = 2.0 and α = 1.5, respectively, are plotted for a range of ED ∈[10−2, 104] days.

Current usage metrics show cumulative count of Article Views (full-text article views including HTML views, PDF and ePub downloads, according to the available data) and Abstracts Views on Vision4Press platform.

Data correspond to usage on the plateform after 2015. The current usage metrics is available 48-96 hours after online publication and is updated daily on week days.

Initial download of the metrics may take a while.