Open Access

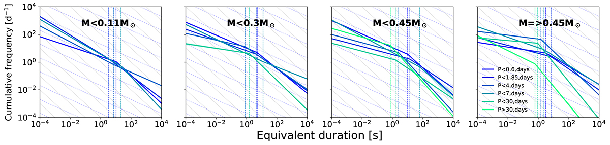
Fig. 6.

image

Download original image

Broken power law relation for FFDs found in this study sample of young and field stars is plotted for four mass bins. The colour of the lines indicates the period bins. The lines represent the broken power law slopes α1 and α2 for successful fits. Uncertainties are plotted as light envelopes in the same colour as period bins.

Current usage metrics show cumulative count of Article Views (full-text article views including HTML views, PDF and ePub downloads, according to the available data) and Abstracts Views on Vision4Press platform.

Data correspond to usage on the plateform after 2015. The current usage metrics is available 48-96 hours after online publication and is updated daily on week days.

Initial download of the metrics may take a while.