Open Access

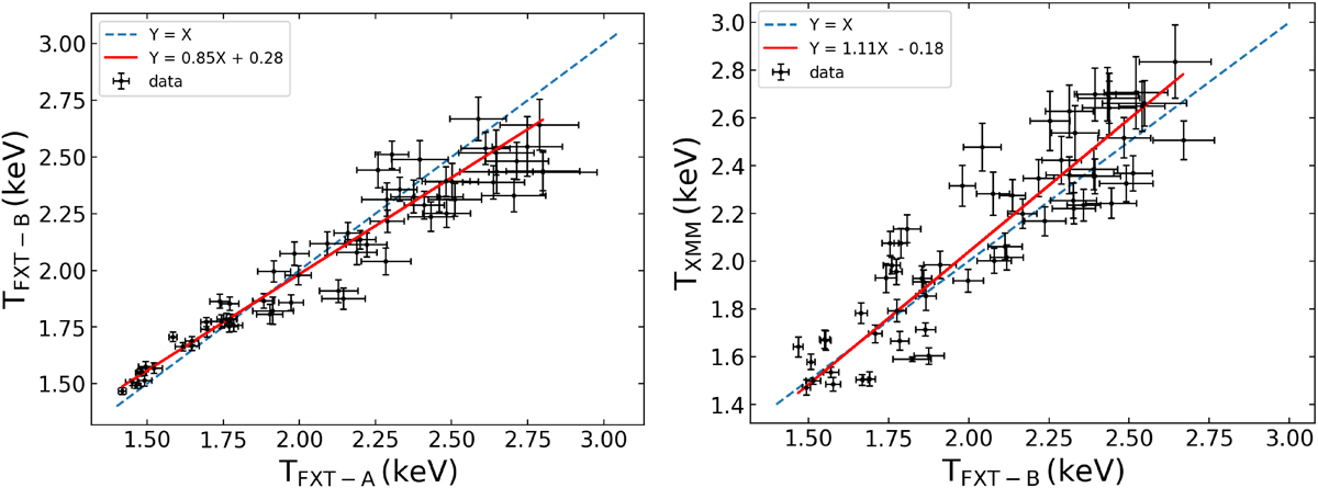
Fig. 8.

image

Download original image

Comparison of the temperature in each pixel between EP-FXT and XMM-Newton. The dashed blue line represents the 1:1 ratio. The red line represents the best-fit linear regression, shown in the legend.

Current usage metrics show cumulative count of Article Views (full-text article views including HTML views, PDF and ePub downloads, according to the available data) and Abstracts Views on Vision4Press platform.

Data correspond to usage on the plateform after 2015. The current usage metrics is available 48-96 hours after online publication and is updated daily on week days.

Initial download of the metrics may take a while.