Open Access

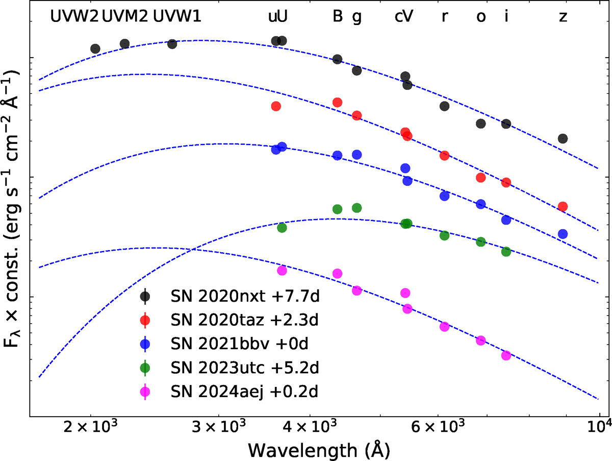
Fig. 7.

image

Download original image

Representative blackbody fits to the SEDs at epochs near the peak luminosity for each SN in our sample. The blue lines show the best-fitting blackbody functions. For visual clarity, the SEDs have been vertically offset by arbitrary constants.

Current usage metrics show cumulative count of Article Views (full-text article views including HTML views, PDF and ePub downloads, according to the available data) and Abstracts Views on Vision4Press platform.

Data correspond to usage on the plateform after 2015. The current usage metrics is available 48-96 hours after online publication and is updated daily on week days.

Initial download of the metrics may take a while.