Open Access

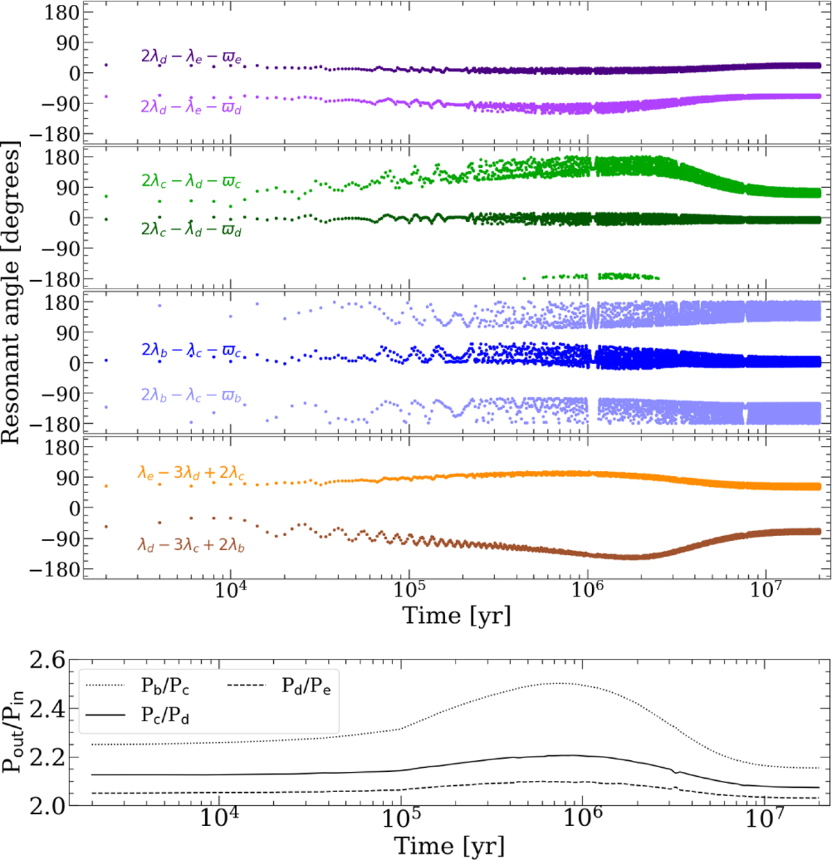
Fig. 5

image

Download original image

Resonant angles and period ratio evolution for adjacent planets in the fiducial model. Upper panels: resonant angle for each adjacent pair and trio of planets. Bottom panel: evolution of the period ratio of two adjacent planets.

Current usage metrics show cumulative count of Article Views (full-text article views including HTML views, PDF and ePub downloads, according to the available data) and Abstracts Views on Vision4Press platform.

Data correspond to usage on the plateform after 2015. The current usage metrics is available 48-96 hours after online publication and is updated daily on week days.

Initial download of the metrics may take a while.