Open Access

Fig. 8

image

Download original image

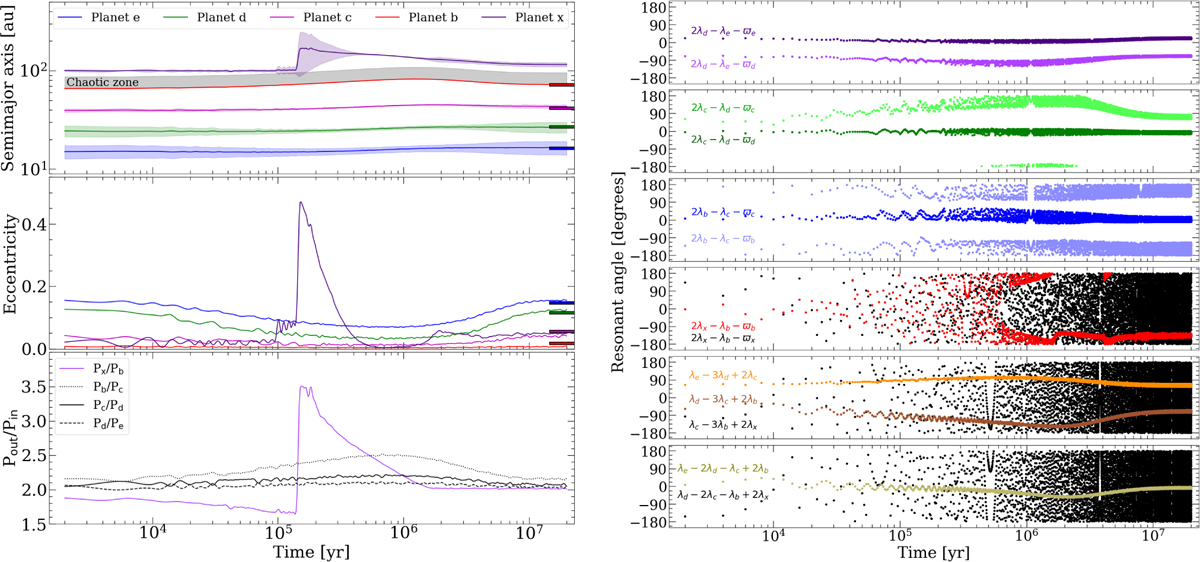
Evolution of selected orbital parameters in the five-planet model. Left: evolution of the planetary semimajor axes, eccentricities, and the period ratio of adjacent-planet pairs. The results for planets e, d, c, b, and x are depicted with the same color-coding as in Figure 2, plus violet for Planet x. The gray region indicates the outer chaotic zone for Planet b, defined as 3 Hill radii. Right: resonant angles for each adjacent pair, trio, and quartet of planets.

Current usage metrics show cumulative count of Article Views (full-text article views including HTML views, PDF and ePub downloads, according to the available data) and Abstracts Views on Vision4Press platform.

Data correspond to usage on the plateform after 2015. The current usage metrics is available 48-96 hours after online publication and is updated daily on week days.

Initial download of the metrics may take a while.