Open Access

Fig. 12

image

Download original image

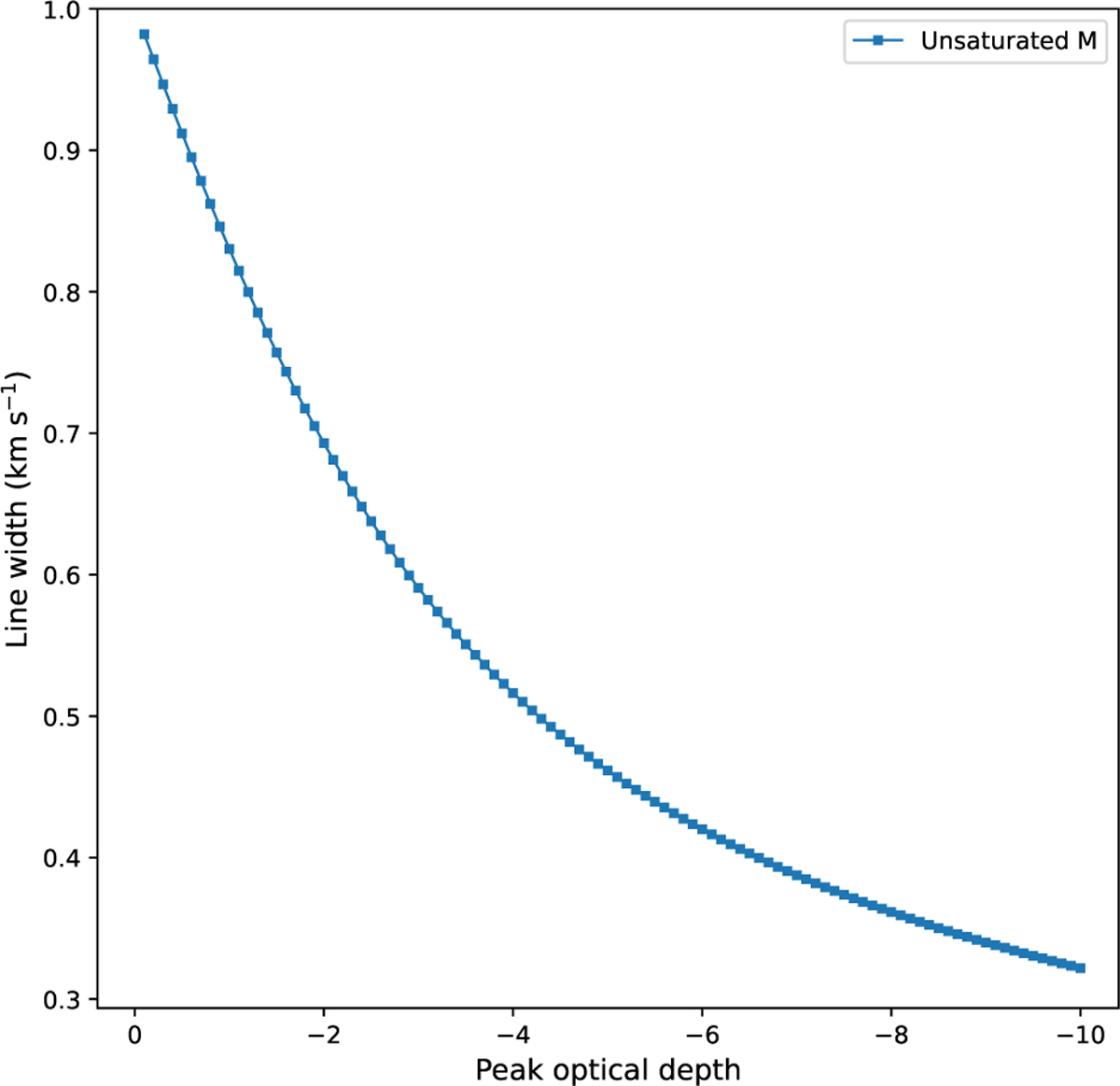
Narrowing of an unsaturated maser feature with a full width at half maximum (FWHM) of 1 km s–1 as a function of peak optical depth, based on the Rayleigh–Jeans approximation of the equation of radiative transfer, Tline ∝(eτ – 1), and a Gaussian distribution of opacity τ as a function of velocity.

Current usage metrics show cumulative count of Article Views (full-text article views including HTML views, PDF and ePub downloads, according to the available data) and Abstracts Views on Vision4Press platform.

Data correspond to usage on the plateform after 2015. The current usage metrics is available 48-96 hours after online publication and is updated daily on week days.

Initial download of the metrics may take a while.