Open Access

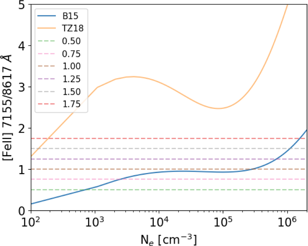
Fig. 18

image

Download original image

ne calculated from [Fe II] 7155 Å/8617 Å intensity ratio for Te = 10000 K using atomic data from B15 (blue lines) and TZ18 (orange line). Typical observed values of the ratio are shown by dashed colored lines.

Current usage metrics show cumulative count of Article Views (full-text article views including HTML views, PDF and ePub downloads, according to the available data) and Abstracts Views on Vision4Press platform.

Data correspond to usage on the plateform after 2015. The current usage metrics is available 48-96 hours after online publication and is updated daily on week days.

Initial download of the metrics may take a while.