Open Access

Fig. 5.

image

Download original image

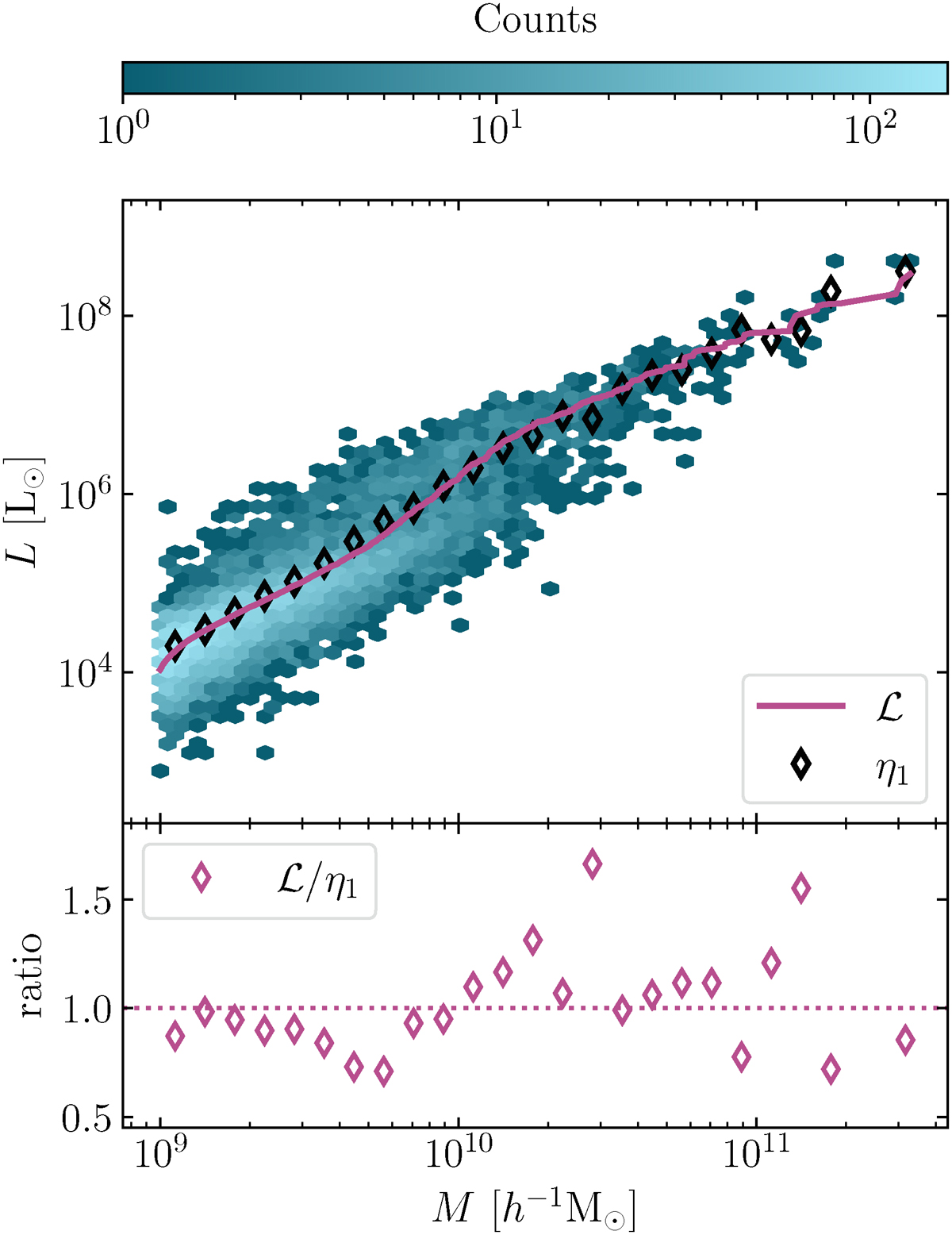
Hexbin scatter plot of (total) [C II] luminosity and halo mass for the emitters in the high-resolution MARIGOLD simulation at z = 5. Solid black symbols show the mean total luminosity computed in narrow mass bins (which coincides with the η1 function also shown in Fig. 4 as a dotted gold line). The solid dark pink line shows the function ℒ(M) obtained applying abundance matching to the simulation output following the steps and assumptions described in Section 3.3. Finally, the ratio of the latter two is shown in the bottom panel.

Current usage metrics show cumulative count of Article Views (full-text article views including HTML views, PDF and ePub downloads, according to the available data) and Abstracts Views on Vision4Press platform.

Data correspond to usage on the plateform after 2015. The current usage metrics is available 48-96 hours after online publication and is updated daily on week days.

Initial download of the metrics may take a while.