Open Access

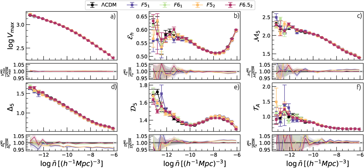
Fig. 5.

image

Download original image

Mean scaling relations between halo number density and selected non-local halo properties across different f(R) cosmologies at redshift z = 0.5. The properties plotted are Vmax, ℰh, ℳ5, Δ5, 𝒟5, and 𝒯A. The lower panels show the ratio of each property in f(R) with respect to ΛCDM. The error bars represent the uncertainty in the mean for each mass bin.

Current usage metrics show cumulative count of Article Views (full-text article views including HTML views, PDF and ePub downloads, according to the available data) and Abstracts Views on Vision4Press platform.

Data correspond to usage on the plateform after 2015. The current usage metrics is available 48-96 hours after online publication and is updated daily on week days.

Initial download of the metrics may take a while.