Open Access

Fig. 3

image

Download original image

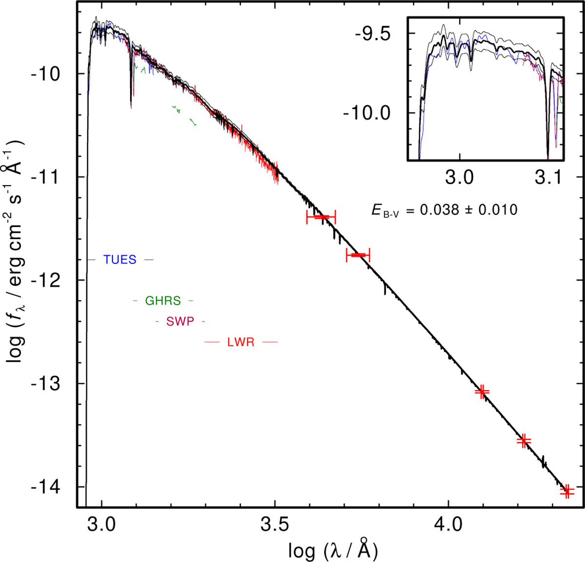
TUES, GHRS, and IUE observations compared with our final model normalized to the 2MASS H magnitude. EB−v = 0.038 ± 0.010 is applied. In addition, the B and V magnitudes (Landolt & Uomoto 2007) as well as the 2MASS J, H, and Ks magnitudes (Cutri et al. 2003) are shown. For clarity, TUES and GHRS spectra are convolved with a Gaussian with a full width at half maximum (FWHM) of 7Å.

Current usage metrics show cumulative count of Article Views (full-text article views including HTML views, PDF and ePub downloads, according to the available data) and Abstracts Views on Vision4Press platform.

Data correspond to usage on the plateform after 2015. The current usage metrics is available 48-96 hours after online publication and is updated daily on week days.

Initial download of the metrics may take a while.