Open Access

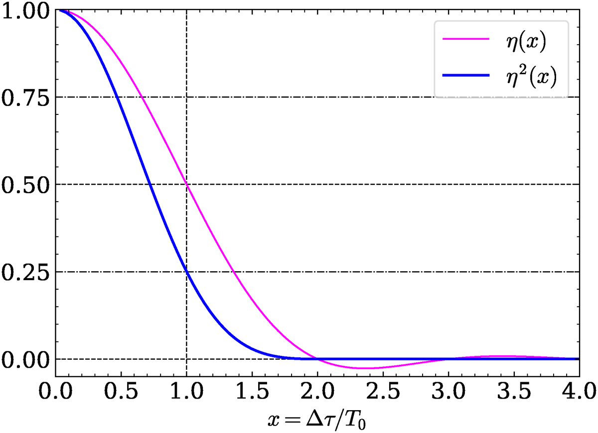
Fig. E.1.

image

Download original image

Function η (pink line) describes the amplitude of the oscillator relative to the amplitude of the source term for t > Δτ. The blue curve describing η2 is a measure of the efficiency of the impulsive excitation.

Current usage metrics show cumulative count of Article Views (full-text article views including HTML views, PDF and ePub downloads, according to the available data) and Abstracts Views on Vision4Press platform.

Data correspond to usage on the plateform after 2015. The current usage metrics is available 48-96 hours after online publication and is updated daily on week days.

Initial download of the metrics may take a while.