Open Access

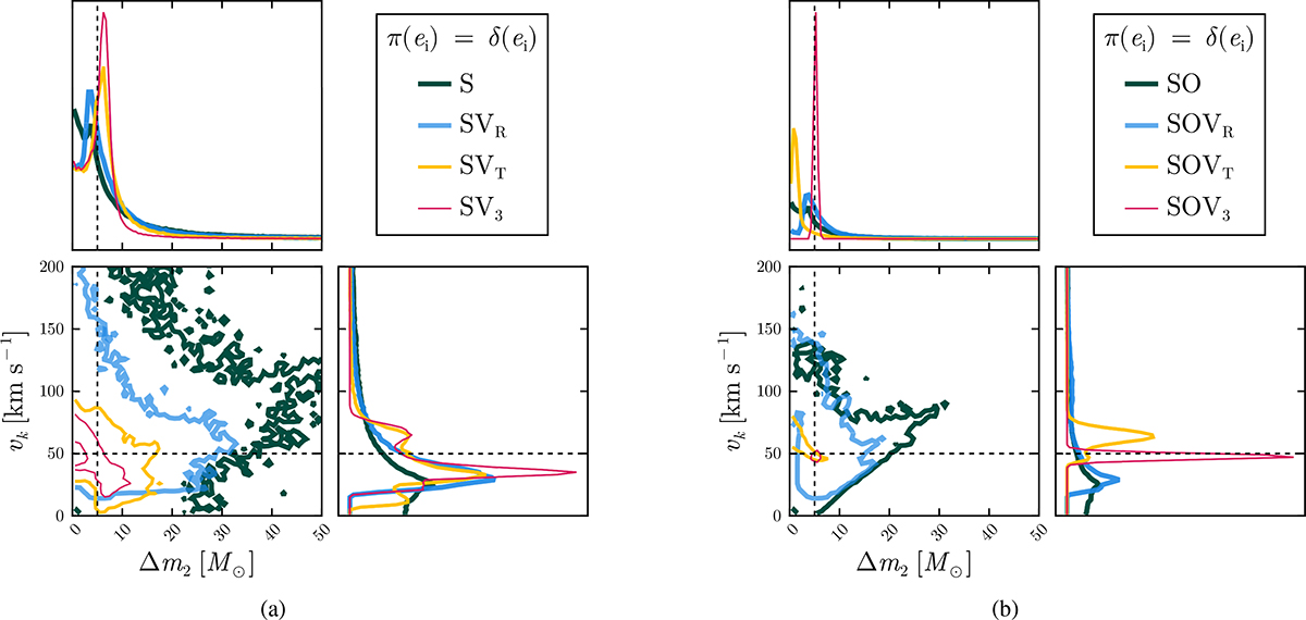
Fig. 3.

image

Download original image

Impact of including different observations in a mock circular binary. Posteriors on the natal kick (vk) and mass loss (Δm2) are shown for when the various observational categories are included. Observational categories include spectroscopy (S), resolved astrometric orbit (O), and constraints on any of radial velocity (VR), transverse velocities (VT), or all three velocity components (V3). All categories include spectroscopy (see Sect. 3.1 for justification). Categories without (with) the astrometric orbit are shown on the left (right). Colors correspond to differences in the available velocity constraints: when there are no velocity constraints (S, SO: dark green), when only the RVs are constrained (SVR, SOVR: blue), when only the transverse velocities are constrained (SVT, SOVT: yellow), and when there are measurements in all three directions (SV3, SOV3: red). All results here apply for the circular mock system; the results for the eccentric mock system are shown in Fig. B.1. Black dashed lines show the true values. Contours capture the 90% confidence interval of the 2D distributions. (a) Initially circular binary, without a resolved orbit. (b) Initially circular binary, with a resolved orbit.

Current usage metrics show cumulative count of Article Views (full-text article views including HTML views, PDF and ePub downloads, according to the available data) and Abstracts Views on Vision4Press platform.

Data correspond to usage on the plateform after 2015. The current usage metrics is available 48-96 hours after online publication and is updated daily on week days.

Initial download of the metrics may take a while.