Open Access

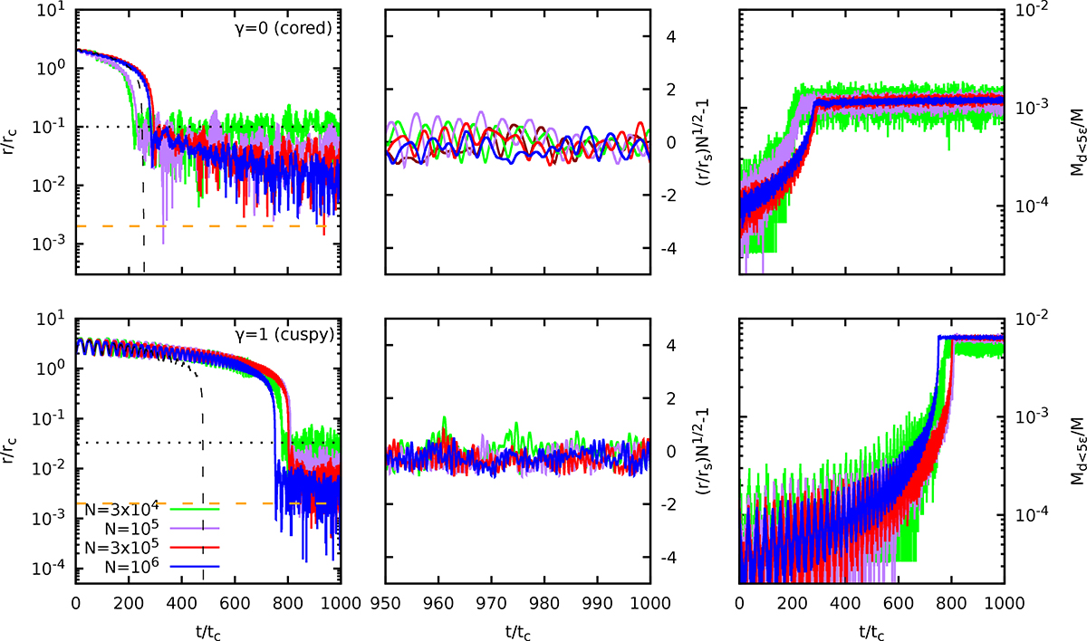
Fig. 7.

image

Download original image

Decay of the galactocentric distance of a tracer particle of mass mt = 10−3M in models with γ = 0 (top left panel) and 1 (bottom left) and the data collapse after a N1/2 scaling (mid panels) to the time-averaged scaling radius, rs, and the evolution of the corresponding mass enclosed with in a sphere of radius 5ϵ centred around mt. The horizontal dotted and dashed lines have the same meaning as in Fig. 3.

Current usage metrics show cumulative count of Article Views (full-text article views including HTML views, PDF and ePub downloads, according to the available data) and Abstracts Views on Vision4Press platform.

Data correspond to usage on the plateform after 2015. The current usage metrics is available 48-96 hours after online publication and is updated daily on week days.

Initial download of the metrics may take a while.