Open Access

Fig. B.2.

image

Download original image

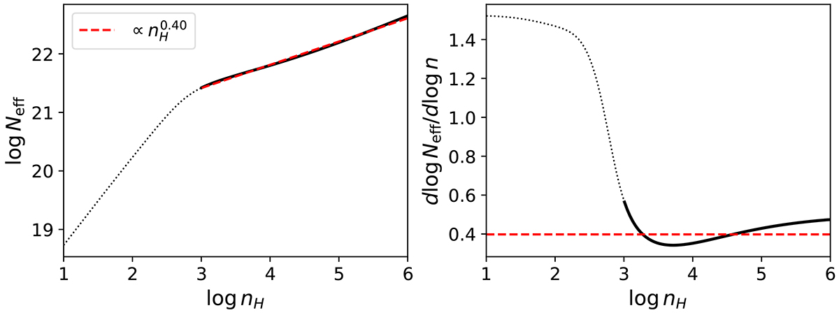
Comparison of the gradient calculation and a power-law fit in log-log space. Left: Neff(H)−nH  relationship for the fiducial model (black), as shown in Fig. 2, and the polynomial fit for the dense gas (red). Right: Derivative, d log Neff/d log n, as a function of density (black). The power-law fit is shown with the horizontal line. The dense gas regime with nH > 103 is highlighted with a bold line. The power-law relationship is annotated at the top.

Current usage metrics show cumulative count of Article Views (full-text article views including HTML views, PDF and ePub downloads, according to the available data) and Abstracts Views on Vision4Press platform.

Data correspond to usage on the plateform after 2015. The current usage metrics is available 48-96 hours after online publication and is updated daily on week days.

Initial download of the metrics may take a while.