Open Access

Fig. 5

image

Download original image

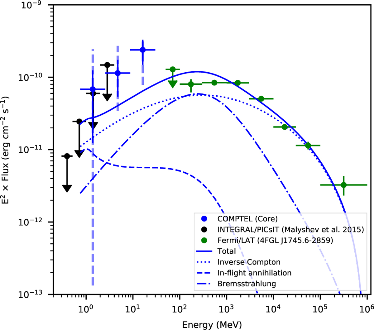
Modelling the SED of the Core component. The Core component SED is shown together with the SED of the Fermi-LAT source 4FGL J1745.6–2859 (Abdollahi et al. 2022) and upper limits from INTEGRAL/PICsIT (Malyshev et al. 2015) (black). A best-fitting model for a pair plasma injected by Sgr A* is shown as a solid blue line. Contributions to the model from IC (dotted line), positron in-flight annihilation (dashed line), and Bremsstrahlung (dash-dotted line) emissions are also shown.

Current usage metrics show cumulative count of Article Views (full-text article views including HTML views, PDF and ePub downloads, according to the available data) and Abstracts Views on Vision4Press platform.

Data correspond to usage on the plateform after 2015. The current usage metrics is available 48-96 hours after online publication and is updated daily on week days.

Initial download of the metrics may take a while.