Open Access

Fig. 10.

image

Download original image

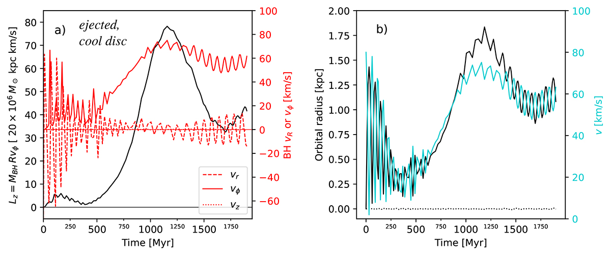
Similar to Fig. 9 but for when the BH is launched from the origin at vy = 80km s1 and comes to rest at a radius of R ≃ 1.35kpc. The run of all quantities are remarkably similar, but for a shift in time of ≈200 Myr (≈ two orbital times) when Lz peaks. We also note that the phase of dynamical friction does not bring the BH close to the origin, as its apocentre distance always exceeds 250pc. The gain in angular momentum seen in panel (a; black curve) begins before 500 Myr.

Current usage metrics show cumulative count of Article Views (full-text article views including HTML views, PDF and ePub downloads, according to the available data) and Abstracts Views on Vision4Press platform.

Data correspond to usage on the plateform after 2015. The current usage metrics is available 48-96 hours after online publication and is updated daily on week days.

Initial download of the metrics may take a while.