Open Access

Fig. 12.

image

Download original image

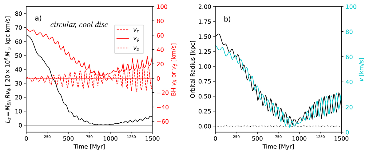
Runs of angular momentum, radius, and velocity components as a function of time for a BH started on a circular orbit. a) The solid black curve graphs the angular momentum (left-hand axis with black labels). The right-hand axis is the scale for each velocity component (red curves). b) The cylindrical radius (in black, left-hand axis) is graphed together with the norm of the velocity (right-hand axis, in turquoise). The dotted line at the bottom is the z coordinate bound to ±10pc. The radius and velocity components reach a minimum at t = 915 Myr.

Current usage metrics show cumulative count of Article Views (full-text article views including HTML views, PDF and ePub downloads, according to the available data) and Abstracts Views on Vision4Press platform.

Data correspond to usage on the plateform after 2015. The current usage metrics is available 48-96 hours after online publication and is updated daily on week days.

Initial download of the metrics may take a while.