Open Access

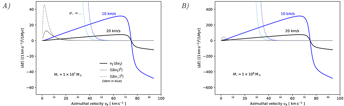
Fig. 2.

image

Download original image

Rates of specific kinetic energy diffusion, ⟨ΔE⟩, as a function of the azimuthal velocity, vϕ. The rates are evaluated from Eqs. (A.7) and (A.3) for two values of the stellar velocity dispersion, σ : 20km s1 (in black or grey); and 10 km s1 (in blue or skyblue). A) Setting M = 1 × 107 M, with M/m ≃ 103, the figure graphs each quadratic component and the first-order parallel one (v ⟨Δv⟩, dark solid lines; we note that it has the same sign as RΩ − vϕ). B) The same but for a BH with M = 1 × 108 M (M/mstar ≃ 104). The much higher inertia of the BH leads to a ten-fold increase in the parallel term but only subtle differences in the diffusion (quadratic) ones. The light and dotted-blue curves peak off scale in either case. The (central) angular velocity Ω = 0.05/Myr is such that RΩ ≈ 70km s1 at R = 1.5kpc, a good match to the circular velocity at that radius.

Current usage metrics show cumulative count of Article Views (full-text article views including HTML views, PDF and ePub downloads, according to the available data) and Abstracts Views on Vision4Press platform.

Data correspond to usage on the plateform after 2015. The current usage metrics is available 48-96 hours after online publication and is updated daily on week days.

Initial download of the metrics may take a while.