Open Access

Fig. 5.

image

Download original image

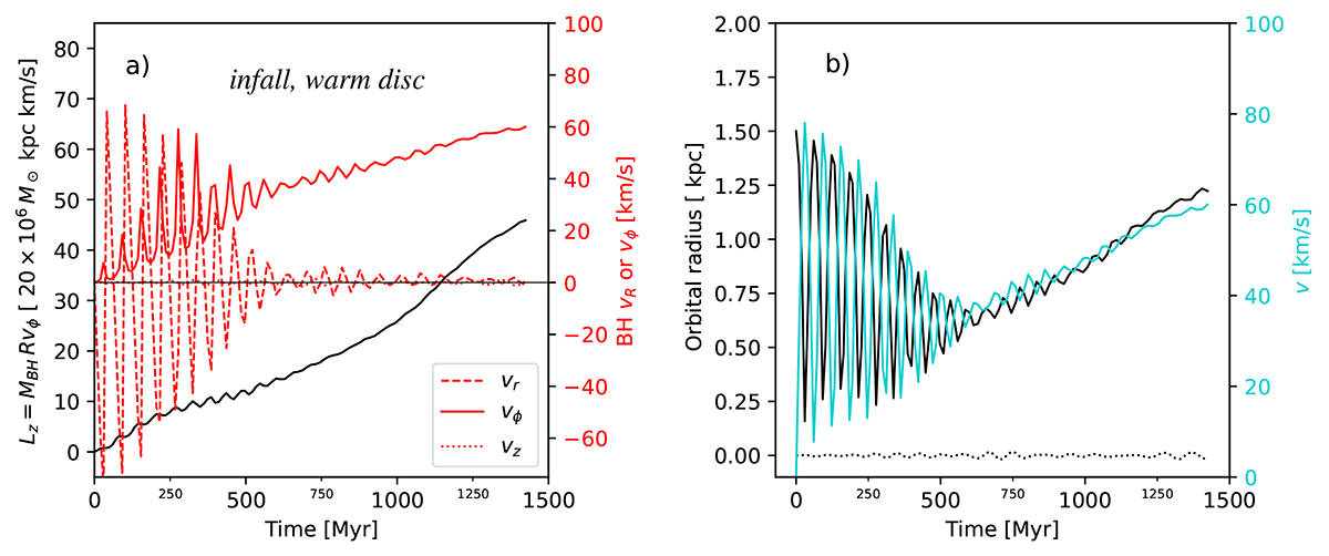
Case when a BH is let go from R = 1.5kpc in a (dynamically) warm stellar disc (Table 1). In panel (a), the run of Lz is shown as a black solid curve, and radial and azimuthal velocity components are shown in red. In panel (b), the cylindrical radius R and the amplitude of v are displayed, each with their own colour-coded vertical axis. In the early stage, dynamical friction makes the orbit shrink; however, the perturber BH acquires angular momentum throughout (panel [a], black curve). Both R and v increase systematically from t ≈ 500 Myr onward. The dotted line at the bottom is the z-coordinate bound to ±15pc. Compare with the test case displayed on Fig. C.2.

Current usage metrics show cumulative count of Article Views (full-text article views including HTML views, PDF and ePub downloads, according to the available data) and Abstracts Views on Vision4Press platform.

Data correspond to usage on the plateform after 2015. The current usage metrics is available 48-96 hours after online publication and is updated daily on week days.

Initial download of the metrics may take a while.