Open Access

Fig. 6.

image

Download original image

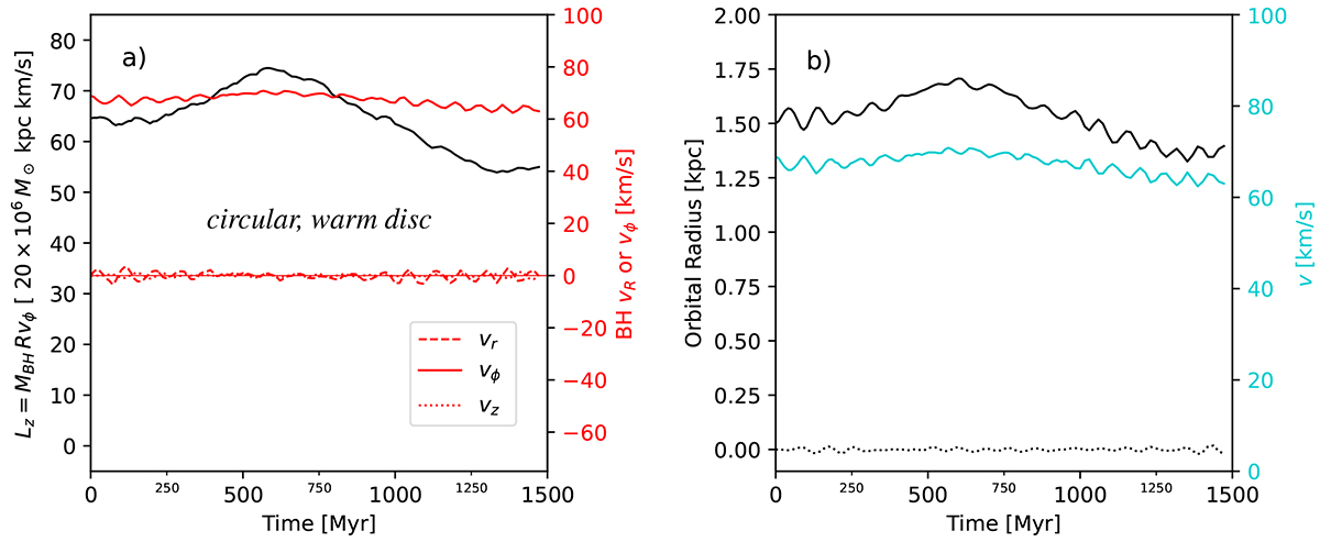
Similar to Fig. 5 but now the BH started at R = 1.5kpc on a circular orbit. We note the sharp response of the axi-symmetric disc to the BH, which triggers radial motion. The disc adjusts to the black hole perturbation and settles progressively over several orbital times to a new equilibrium. The BH’s orbit, however, does not migrate significantly over the full integration time. Panel (a): Run of Lz (black solid curve). Radial and azimuthal velocity components are shown in red. Panel (b): Cylindrical radius R (in black) and amplitude of v (in turquoise). The dotted line at the bottom is the z-coordinate bound to ±17pc.

Current usage metrics show cumulative count of Article Views (full-text article views including HTML views, PDF and ePub downloads, according to the available data) and Abstracts Views on Vision4Press platform.

Data correspond to usage on the plateform after 2015. The current usage metrics is available 48-96 hours after online publication and is updated daily on week days.

Initial download of the metrics may take a while.