Open Access

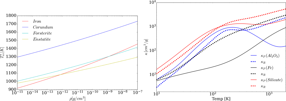
Fig. B.2

image

Download original image

Left: Derived fitting functions of the sublimation temperature for the dust species. Right: Planck and Rosseland opacities dependent on temperature for the three groups of dust species. The Rosseland opacities were calculated using the total extinction opacity.

Current usage metrics show cumulative count of Article Views (full-text article views including HTML views, PDF and ePub downloads, according to the available data) and Abstracts Views on Vision4Press platform.

Data correspond to usage on the plateform after 2015. The current usage metrics is available 48-96 hours after online publication and is updated daily on week days.

Initial download of the metrics may take a while.