Open Access

Fig. 6.

image

Download original image

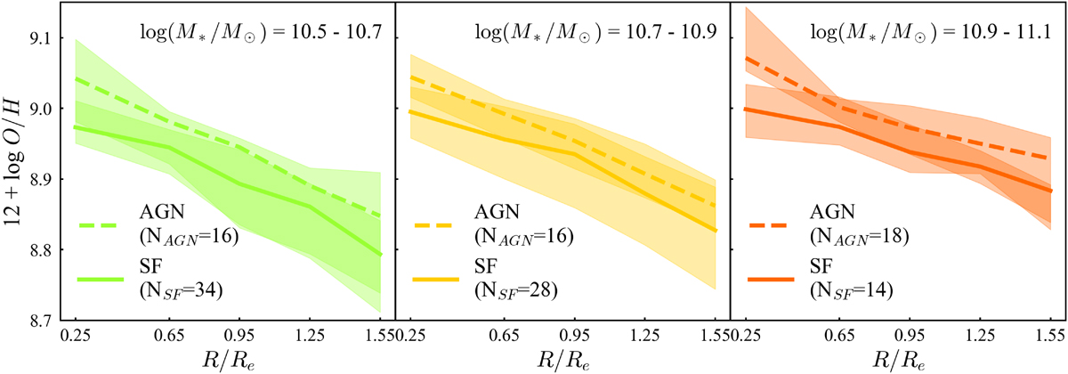
Median metallicity among AGN host galaxies (dashed line) and SF galaxies (continuous line) as a function of the galactic radius. The numbers (NAGN, NSF) of the galaxies in the two samples are reported in the legend for each mass bin. Shaded areas cover the upper and lower errors on the metallicity gradients, computed as the 25th and 75th percentiles of the 12 + log O/H distribution inside each stellar mass bin. As expected from the well-known MZR, the nuclear metallicity of both SF and AGN host galaxies constantly increases together with the host galaxy’s stellar mass, saturating at 12 + log O/H ∼ 9.0 for the SF galaxies and rising to ∼9.1 in the AGN hosts. In addition, the metallicity gradients become flatter with higher stellar mass in the SF galaxies.

Current usage metrics show cumulative count of Article Views (full-text article views including HTML views, PDF and ePub downloads, according to the available data) and Abstracts Views on Vision4Press platform.

Data correspond to usage on the plateform after 2015. The current usage metrics is available 48-96 hours after online publication and is updated daily on week days.

Initial download of the metrics may take a while.