Open Access

Fig. 13

image

Download original image

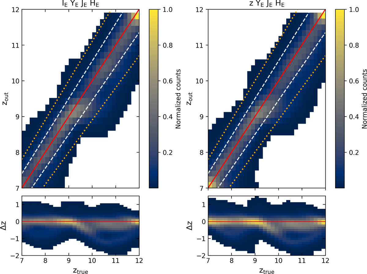
Top: comparison between the true redshift and the redshift estimated by Owl-z with both Euclid IEYEJEHE dataset (left) and zYE JE HE dataset (right). Red solid lines display the 1:1 bisector; the thresholds corresponding to |∆z| > 0.1(1 + ztrue) and |∆z| > 0.05(1 + ztrue) are also displayed to guide the eye as orange dotted and white dashed lines, respectively. Bottom: residual ∆z = zout - ztrue as a function of redshift, with the red line corresponding to ∆z = 0.

Current usage metrics show cumulative count of Article Views (full-text article views including HTML views, PDF and ePub downloads, according to the available data) and Abstracts Views on Vision4Press platform.

Data correspond to usage on the plateform after 2015. The current usage metrics is available 48-96 hours after online publication and is updated daily on week days.

Initial download of the metrics may take a while.