Open Access

Fig. 11

image

Download original image

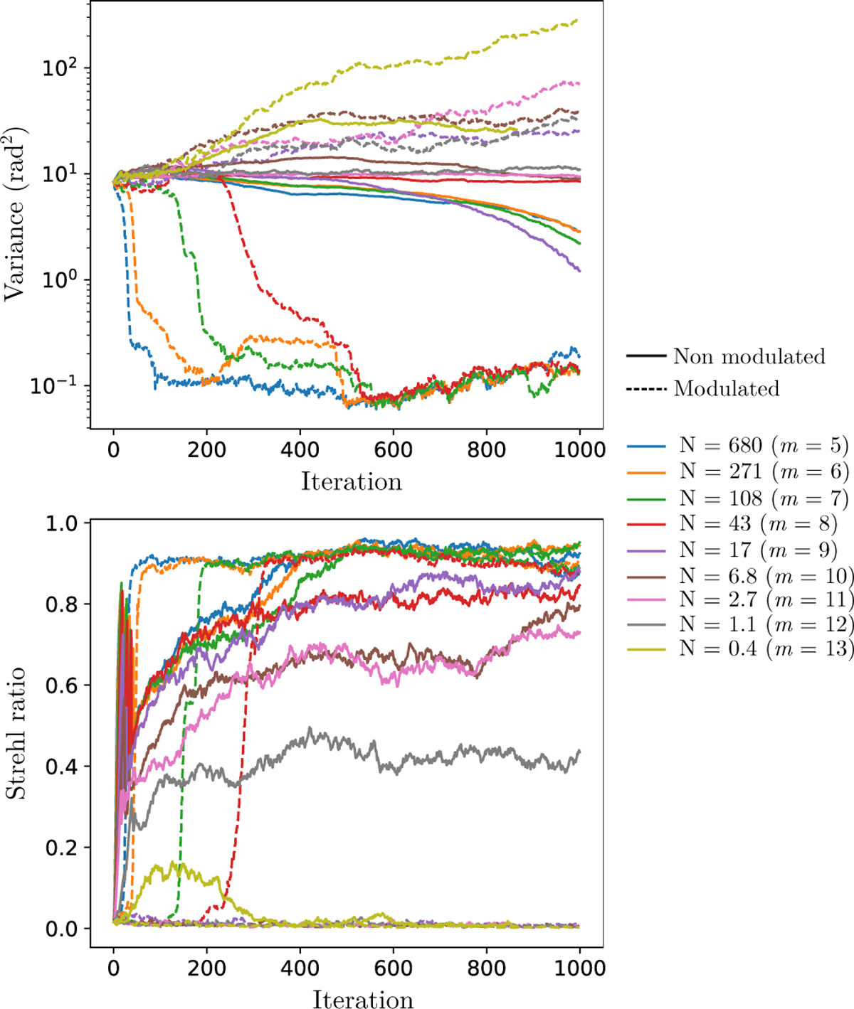
Closed-loop result with the iMZ on 1 second of turbulence, for 0.7 arcsecond seeing, with tip-tilt pre-correction. Upper panel: residual phase variance (rad2) evolution over 1000 iterations of correction at 1 kHz for different flux conditions (m ∈ [5...13], without (solid line) and with modulation + unwrapping (dashed line). Lower panel: associated Strehl ratio estimated at 1.2 µm.

Current usage metrics show cumulative count of Article Views (full-text article views including HTML views, PDF and ePub downloads, according to the available data) and Abstracts Views on Vision4Press platform.

Data correspond to usage on the plateform after 2015. The current usage metrics is available 48-96 hours after online publication and is updated daily on week days.

Initial download of the metrics may take a while.