Open Access

Fig. 8

image

Download original image

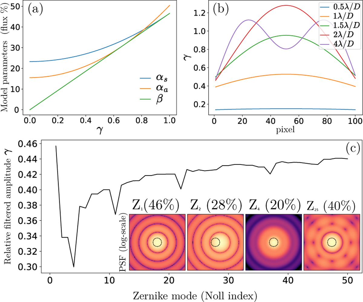
Variations in the model parameters with the filtered relative amplitude, γ. (a) The parameters αs, αa, and β (in percent of the incident flux) as functions of γ, see Eqs. (77a)-(77c). (b) Radial cut of γ for a flat wavefront and pinhole diameters from 0.5 to 4 λ/D. (c) Mean value of γ in the pupil for a phase aberration with taking values from -π/2 to π/2 and whose shape is one of the fifty first Zernike modes, for a λ/D pinhole. Below the curve we show the PSFs in logarithmic scale for Z1, Z2, Z4, and Z25. The pinhole diameter is overlaid with a black circle. The percentages indicated for each Zernike mode corresponds to the PSF energy encircled within the pinhole.

Current usage metrics show cumulative count of Article Views (full-text article views including HTML views, PDF and ePub downloads, according to the available data) and Abstracts Views on Vision4Press platform.

Data correspond to usage on the plateform after 2015. The current usage metrics is available 48-96 hours after online publication and is updated daily on week days.

Initial download of the metrics may take a while.