Open Access

Fig. 3.

image

Download original image

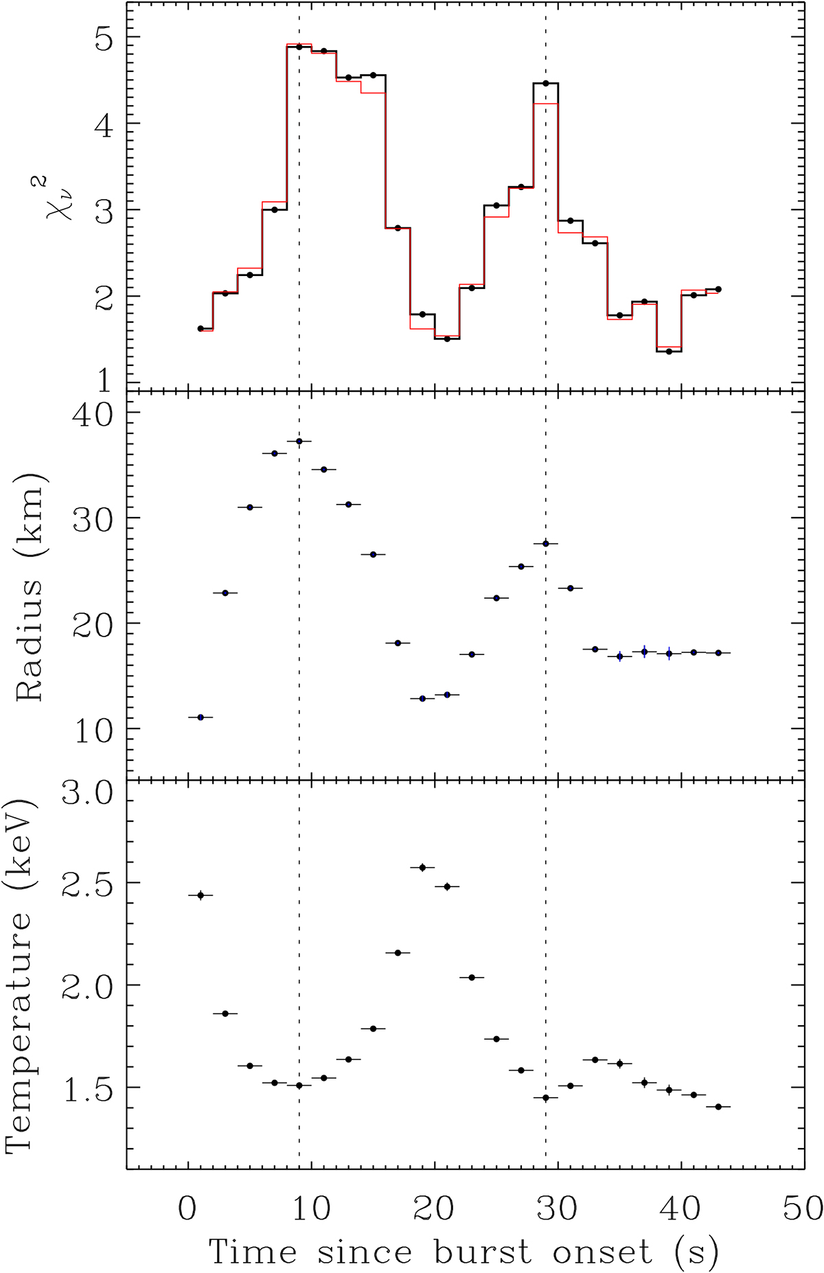
Time-resolved (2 s bins) properties, with 1σ errors, of the thermonuclear X-ray burst observed from IGR J17591–2342 with AstroSat/LAXPC (see Section 4.1). The upper panel shows reduced χ2 profiles for the spectral fitting with the XSPEC models tbabs(bbodyrad+constant*powerlaw) (black; power-law parameter values frozen to the pre-burst values) and tbabs(bbodyrad+powerlaw) (red). This panel shows that the fitting is not acceptable. Overall, the fitting does not improve when the spectral shape (power-law photon index) is made free, and the reduced χ2 profiles have two humps. The middle and lower panels show the blackbody (bbodyrad) parameter (radius and temperature, respectively) profiles for the first model mentioned above. These panels (along with the dotted vertical lines) show that radius humps and temperature dips coincide with the reduced χ2 humps.

Current usage metrics show cumulative count of Article Views (full-text article views including HTML views, PDF and ePub downloads, according to the available data) and Abstracts Views on Vision4Press platform.

Data correspond to usage on the plateform after 2015. The current usage metrics is available 48-96 hours after online publication and is updated daily on week days.

Initial download of the metrics may take a while.