Open Access

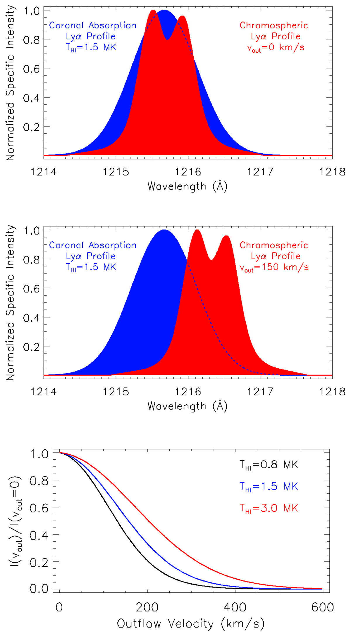
Fig. 1.

image

Download original image

Top panel: Chromospheric Lyα profile (red) and coronal absorption Lyα profile (blue) for a static corona (vout = 0 km s−1). Middle panel: Chromospheric and absorption profiles Doppler shifted for an outflow velocity of 150 km s−1. The absorption coronal profile is calculated as a Gaussian shape for a neutral hydrogen kinetic temperature equal to 1.5 MK. Bottom panel: I(vout)/I(vout = 0) calculated for three different neutral hydrogen kinetic temperatures, Tk = 0.8 MK (black), Tk = 1.5 MK (blue), and Tk = 3.0 MK (red).

Current usage metrics show cumulative count of Article Views (full-text article views including HTML views, PDF and ePub downloads, according to the available data) and Abstracts Views on Vision4Press platform.

Data correspond to usage on the plateform after 2015. The current usage metrics is available 48-96 hours after online publication and is updated daily on week days.

Initial download of the metrics may take a while.