Open Access

Fig. I.1

image

Download original image

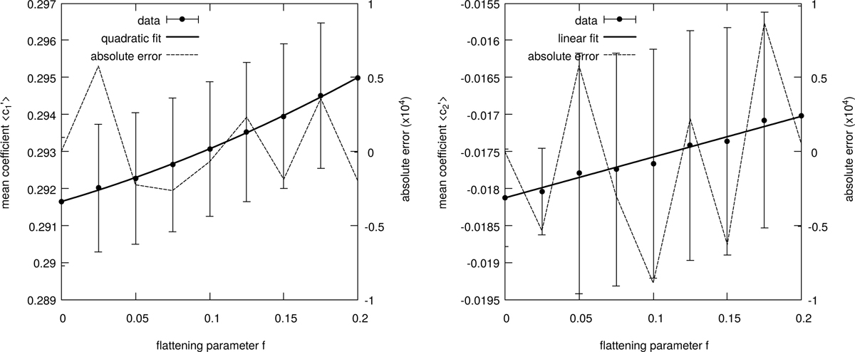
Mean coefficients c1±Δ1$\langle c_1' \rangle \pm \Delta_1$ (top) and c2±Δ2$\langle c_2' \rangle \pm \Delta_2$ (bottom) of the mass-radius relationship for a two-layer IW planet versus the flattening parameter f, the fits (plain lines) and the absolute errors in fitting the means (dashed-lines, right axis).

Current usage metrics show cumulative count of Article Views (full-text article views including HTML views, PDF and ePub downloads, according to the available data) and Abstracts Views on Vision4Press platform.

Data correspond to usage on the plateform after 2015. The current usage metrics is available 48-96 hours after online publication and is updated daily on week days.

Initial download of the metrics may take a while.