Open Access

Fig. 2.

image

Download original image

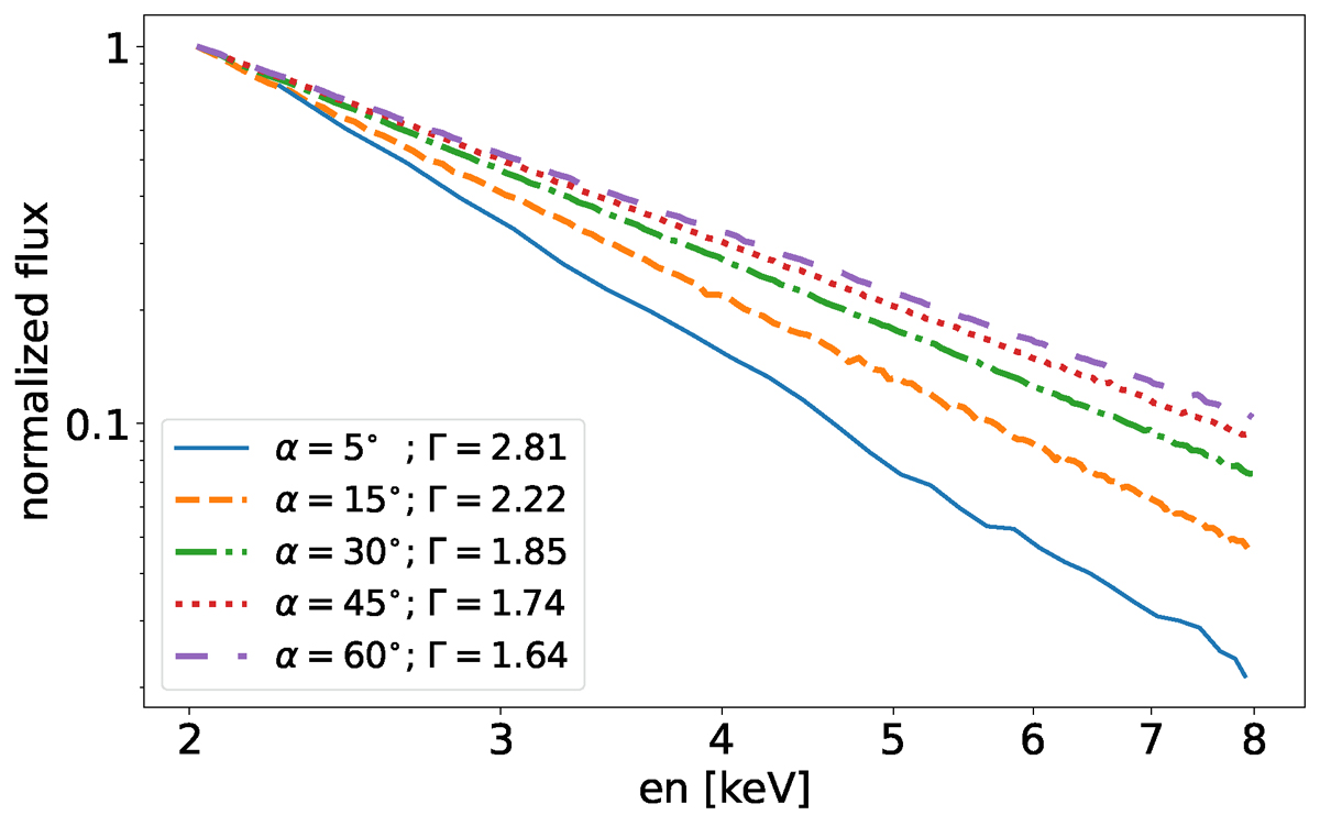
Primary continuum normalized flux as a function of photons energy (2 − 8 keV) for different wedge opening angles (α) in the baseline configuration. The parameters are: Rcorona = 6RG, Rdisk = 25RG, kTe = 60 keV, and τ = 1.9. As the opening angle increases, the spectral index (Γ) of the nuclear emission drops, leading to harder spectra.

Current usage metrics show cumulative count of Article Views (full-text article views including HTML views, PDF and ePub downloads, according to the available data) and Abstracts Views on Vision4Press platform.

Data correspond to usage on the plateform after 2015. The current usage metrics is available 48-96 hours after online publication and is updated daily on week days.

Initial download of the metrics may take a while.