Open Access

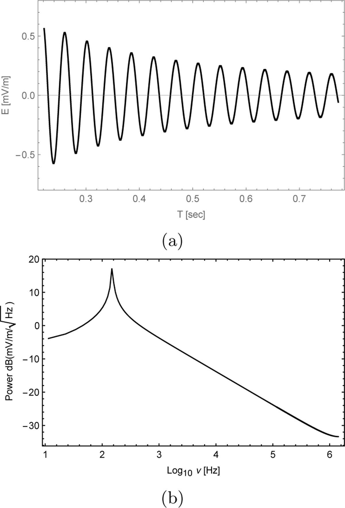
Fig. 9

image

Download original image

(a) Electric field profile. (b) Corresponding FFT power spectra of the electric field for z > 100 λD from the test-charge particle. Here, n10 = n30 = 2 cm−3, n20 = 3 cm−3, nse0 = nsp0 = 3 cm−3, T1 = T2 = T3= 300 K, Te = 500 K, Tsp = Tse = 2 × 104 K, and usp0 = 300 × 105 cm/s. The x-axis signifies the frequency ν (in Hz), and the y-axis represents the power of the electric field in units of dB(mV/m/Hz).

Current usage metrics show cumulative count of Article Views (full-text article views including HTML views, PDF and ePub downloads, according to the available data) and Abstracts Views on Vision4Press platform.

Data correspond to usage on the plateform after 2015. The current usage metrics is available 48-96 hours after online publication and is updated daily on week days.

Initial download of the metrics may take a while.